🇳🇴 🇬🇧 🇩🇪 🇨🇿 🇫🇮

Meteor über Rollag 2017-11-19 02:12:19 UTC

Gran – 2
Gran – 2
Harestua – 1
Harestua – 1
Temp – 1
Temp – 1
Voksenlia – 2
Voksenlia – 2

KML-Datei  | Interaktive Karte

map

Die Karte zeigt die Peilungen für den Meteor. Die helleren Linien zeigen die Richtungen von den Beobachtungsorten beim Erscheinen des Meteors, und die dunkleren Linien, wo er zuletzt gesehen wurde. Der blaue Pfeil zeigt die sichtbare Bahn des Meteors.

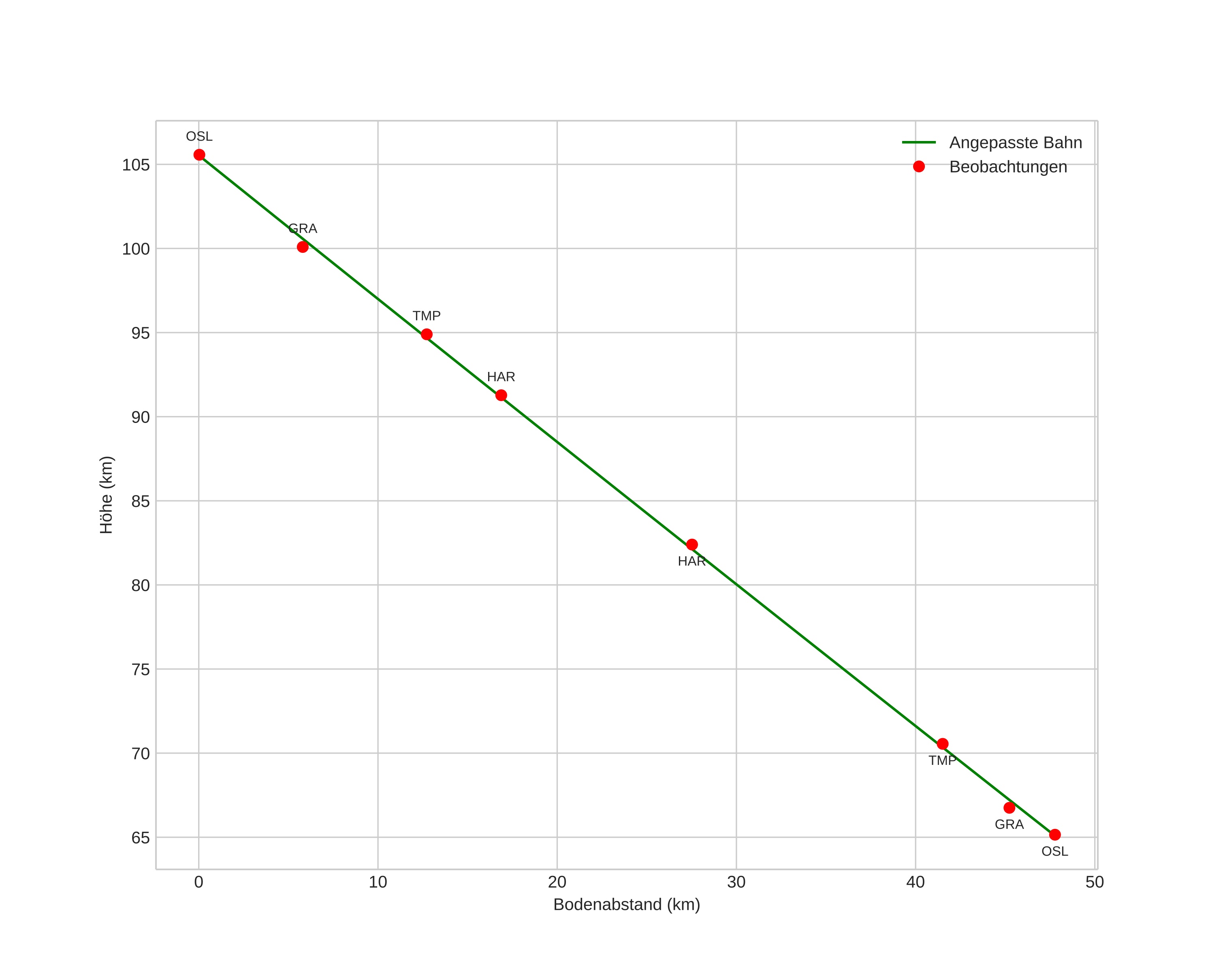
height profile
Atmosphärische Bahn des Meteors:
Anfangshöhe: 105,5 km
Endhöhe: 65,1 km
Startposition: 59,918N 8,647E
Endposition: 60,219N 9,261E
Richtung: 45,3°
Neigungswinkel: 40,2°
Eintrittsgeschwindigkeit: 27,5 km/s
Rektaszension des Radianten: 04:15 (63,9°)
Deklination des Radianten: 14,5°
Meteorstrom: Südliche Tauriden
Bahnelemente des Meteoroiden:
Periheldistanz: 0,446 AU
Exzentrizität: 0,779
Inklination: 6,3°
Länge des aufsteigenden Knotens: 56,7°
Argument des Perihels: 104,6°
Mittlere Anomalie: 344,7°
Epoche: 2017 NOV 19 02:12:19
orbit

Nicht-interaktives Diagramm | Interaktives Diagramm

position vs time
speed & acceleration