🇳🇴 🇬🇧 🇩🇪 🇨🇿 🇫🇮

Meteor, poloha: Skjærhalden 2017-11-19 22:38:52 UTC

Soubor KML  |  InteraktivnĂ­ mapa

Mapa zobrazuje dráhy meteoru. Světlejší čáry ukazují směry od pozorovacích stanic při objevení se meteoru a tmavší čáry, kde byl naposledy viděn. Modrá šipka značí viditelnou dráhu meteoru.

static map
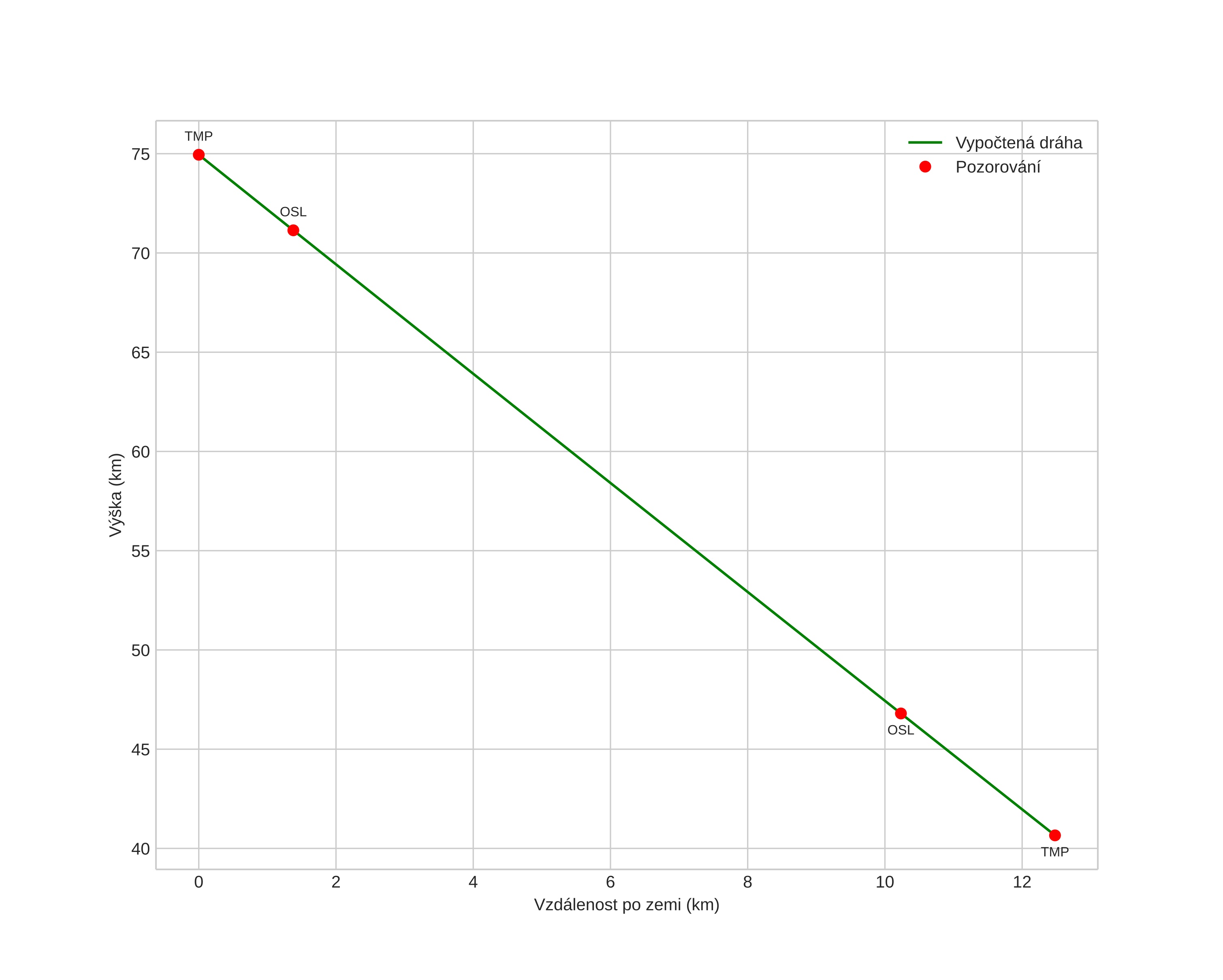
height profile
Atmosférická dráha meteoru:
Počáteční výška: 74,9 km
Konečná výška: 40,7 km
Počáteční poloha: 58,948N 10,706E
Konečná poloha: 59,032N 10,849E
Směr: 41,0°
Sklon: 70,0°
VstupnĂ­ rychlost: 21,4 km/s
Rektascenze radiantu: 01:59 (29,8°)
Deklinace radiantu: 40,4°
MeteorickĂ˝ roj: sporadickĂ˝
Elementy dráhy meteoroidu:
Vzdálenost v periheliu: 0,786 AU
Excentricita: 0,753
Sklon dráhy: 13,3°
Délka vzestupného uzlu: 237,5°
Argument perihelia: 238,4°
Střední anomálie: 353,6°
Epocha: 2017 NOV 19 22:38:52
orbit plot

NeinteraktivnĂ­ graf | InteraktivnĂ­ graf

position vs time
speed and acceleration