🇳🇴 🇬🇧 🇩🇪 🇨🇿 🇫🇮

Meteor Skjærhaldenin yllä 2017-11-19 22:38:52 UTC

KML-tiedosto  |  Interaktiivinen kartta

Kartta näyttää meteorin suuntahavainnot. Vaaleammat viivat näyttävät suunnat havaintoasemilta meteorin ilmestyessä, ja tummemmat viivat näyttävät, missä se viimeksi nähtiin. Sininen nuoli näyttää meteorin näkyvän lennon.

static map
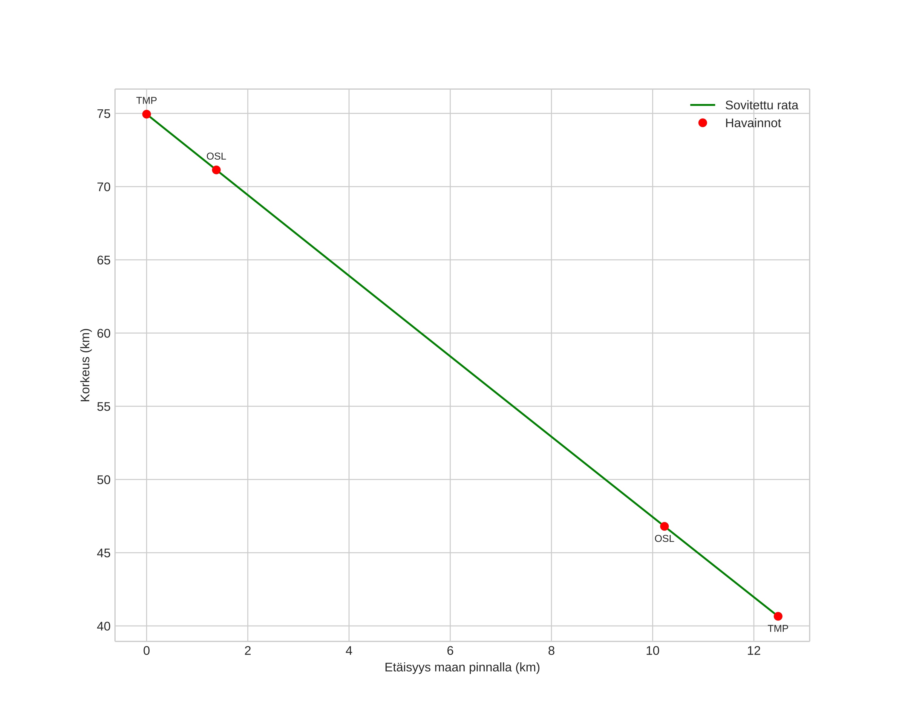
height profile
Meteorin ilmakehärata:
Alkukorkeus: 74,9 km
Loppukorkeus: 40,7 km
Alkupiste: 58,948N 10,706E
Loppupiste: 59,032N 10,849E
Suunta: 41,0°
Kallistuskulma: 70,0°
Tulonopeus: 21,4 km/s
Radiantin R,A,: 01:59 (29,8°)
Radiantin Dekl,: 40,4°
Meteoriparvi: Sporadinen
Meteoroidin rataelementit:
Perihelietäisyys: 0,786 AU
Eksentrisyys: 0,753
Inklinaatio: 13,3°
Nousevan solmun pituus: 237,5°
Perihelin argumentti: 238,4°
Keskianomalia: 353,6°
Epookki: 2017 NOV 19 22:38:52
orbit plot

Ei-interaktiivinen kuvaaja | Interaktiivinen kuvaaja

position vs time
speed and acceleration