🇳🇴 🇬🇧 🇩🇪 🇨🇿 🇫🇮

Meteor, poloha: Valle 2017-11-21 21:12:43 UTC

Soubor KML  |  InteraktivnĂ­ mapa

Mapa zobrazuje dráhy meteoru. Světlejší čáry ukazují směry od pozorovacích stanic při objevení se meteoru a tmavší čáry, kde byl naposledy viděn. Modrá šipka značí viditelnou dráhu meteoru.

static map
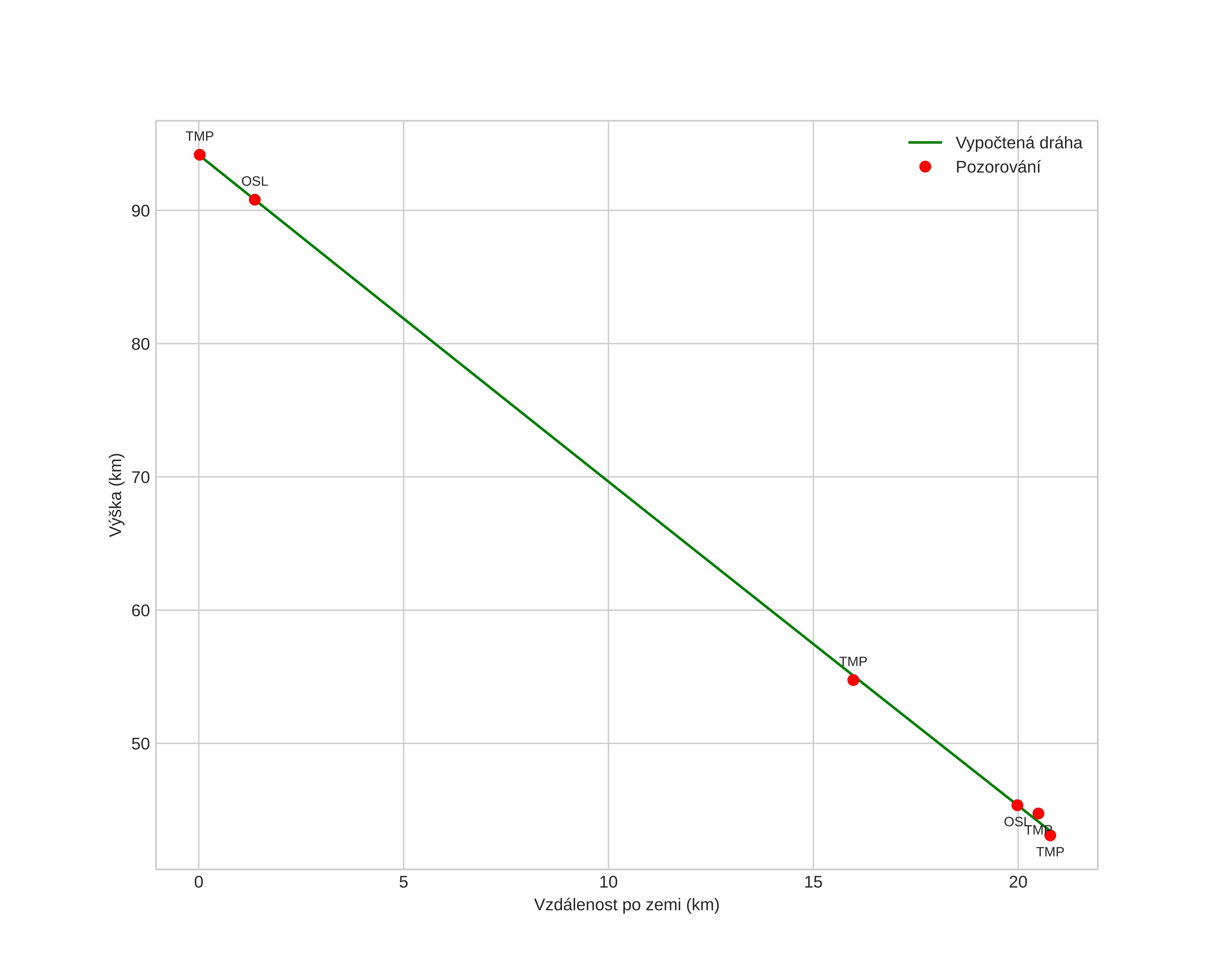
height profile
Atmosférická dráha meteoru:
Počáteční výška: 94,2 km
Konečná výška: 43,1 km
Počáteční poloha: 58,986N 7,517E
Konečná poloha: 59,107N 7,237E
Směr: 310,1°
Sklon: 67,8°
VstupnĂ­ rychlost: 26,1 km/s
Rektascenze radiantu: 03:17 (49,3°)
Deklinace radiantu: 40,9°
MeteorickĂ˝ roj: sporadickĂ˝
Elementy dráhy meteoroidu:
Vzdálenost v periheliu: 0,625 AU
Excentricita: 0,802
Sklon dráhy: 15,9°
Délka vzestupného uzlu: 239,5°
Argument perihelia: 260,0°
Střední anomálie: 352,7°
Epocha: 2017 NOV 21 21:12:43
orbit plot

NeinteraktivnĂ­ graf | InteraktivnĂ­ graf

position vs time
speed and acceleration