🇳🇴 🇬🇧 🇩🇪 🇨🇿 🇫🇮

Meteor Vallen yllä 2017-11-21 21:12:43 UTC

KML-tiedosto  |  Interaktiivinen kartta

Kartta näyttää meteorin suuntahavainnot. Vaaleammat viivat näyttävät suunnat havaintoasemilta meteorin ilmestyessä, ja tummemmat viivat näyttävät, missä se viimeksi nähtiin. Sininen nuoli näyttää meteorin näkyvän lennon.

static map
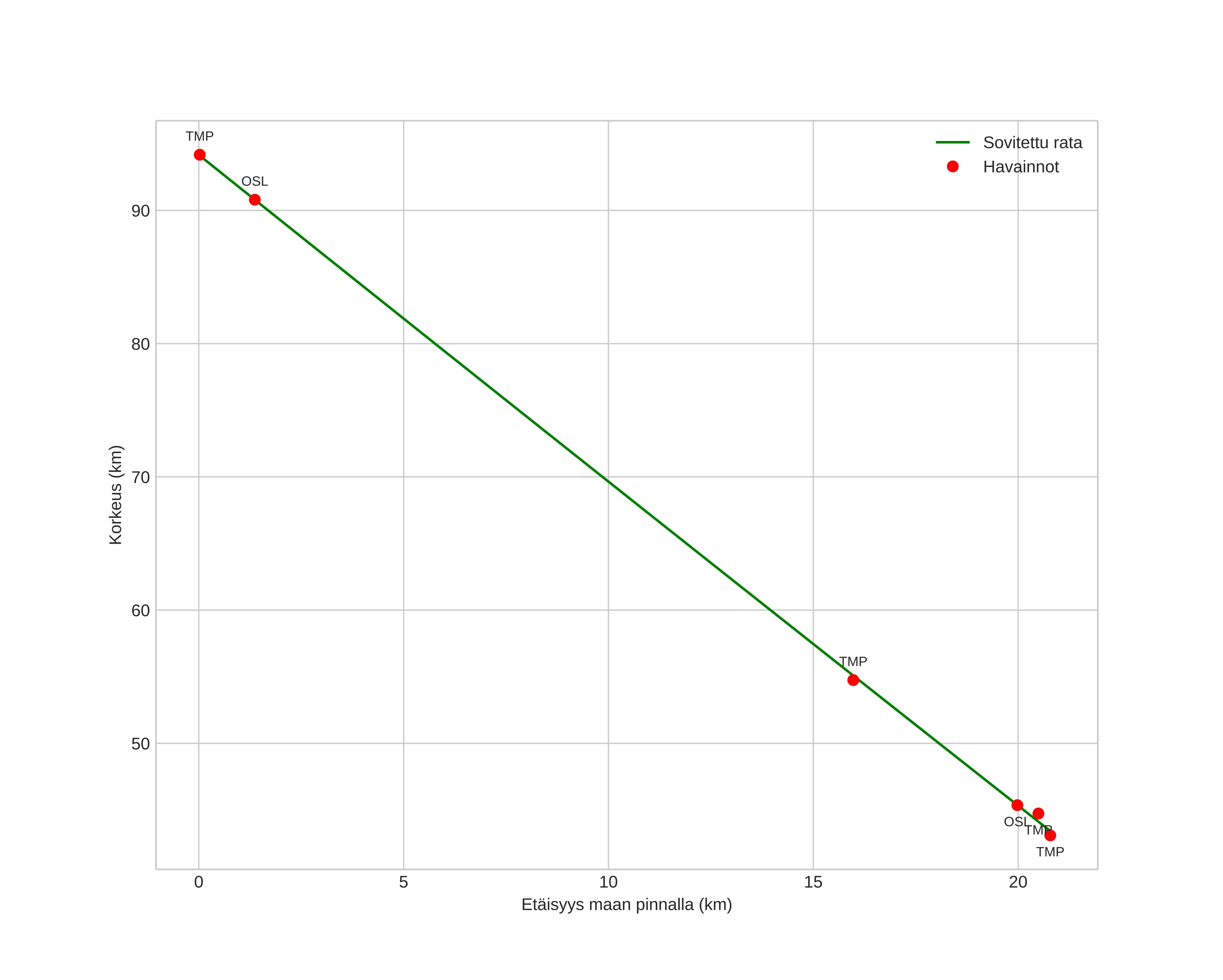
height profile
Meteorin ilmakehärata:
Alkukorkeus: 94,2 km
Loppukorkeus: 43,1 km
Alkupiste: 58,986N 7,517E
Loppupiste: 59,107N 7,237E
Suunta: 310,1°
Kallistuskulma: 67,8°
Tulonopeus: 26,1 km/s
Radiantin R,A,: 03:17 (49,3°)
Radiantin Dekl,: 40,9°
Meteoriparvi: Sporadinen
Meteoroidin rataelementit:
Perihelietäisyys: 0,625 AU
Eksentrisyys: 0,802
Inklinaatio: 15,9°
Nousevan solmun pituus: 239,5°
Perihelin argumentti: 260,0°
Keskianomalia: 352,7°
Epookki: 2017 NOV 21 21:12:43
orbit plot

Ei-interaktiivinen kuvaaja | Interaktiivinen kuvaaja

position vs time
speed and acceleration