🇳🇴 🇬🇧 🇩🇪 🇨🇿 🇫🇮

Meteor, poloha: Grua 2017-11-23 17:36:40 UTC

Harestua – 4
Harestua – 4
Temp – 1
Temp – 1

Soubor KML  | Interaktivní mapa

map

Mapa zobrazuje dráhy meteoru. Světlejší čáry ukazují směry od pozorovacích stanic při objevení se meteoru a tmavší čáry, kde byl naposledy viděn. Modrá šipka značí viditelnou dráhu meteoru.

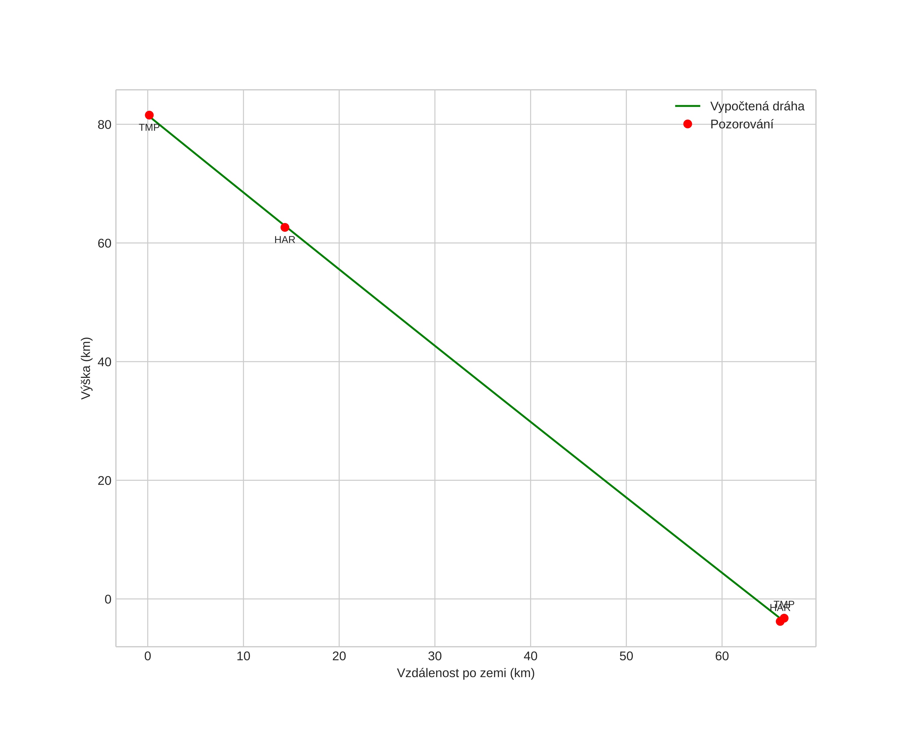
height profile
Atmosférická dráha meteoru:
Počáteční výška: 81,5 km
Konečná výška: -3,6 km
Počáteční poloha: 59,700N 10,189E
Konečná poloha: 60,230N 10,735E
Směr: 27,0°
Sklon: 52,1°
Vstupní rychlost: 21,0 km/s
Rektascenze radiantu: 21:10 (317,6°)
Deklinace radiantu: 20,5°
Meteorický roj: sporadický
Elementy dráhy meteoroidu:
Vzdálenost v periheliu: 0,987 AU
Excentricita: 1,355
Sklon dráhy: 12,9°
Délka vzestupného uzlu: 241,4°
Argument perihelia: 178,6°
Střední anomálie: 0,2°
Epocha: 2017 NOV 23 17:36:40
orbit

Neinteraktivní graf | Interaktivní graf

position vs time
speed & acceleration