🇳🇴 🇬🇧 🇩🇪 🇨🇿 🇫🇮

Meteor über Grua 2017-11-23 17:36:40 UTC

Harestua – 4
Harestua – 4
Temp – 1
Temp – 1

KML-Datei  | Interaktive Karte

map

Die Karte zeigt die Peilungen für den Meteor. Die helleren Linien zeigen die Richtungen von den Beobachtungsorten beim Erscheinen des Meteors, und die dunkleren Linien, wo er zuletzt gesehen wurde. Der blaue Pfeil zeigt die sichtbare Bahn des Meteors.

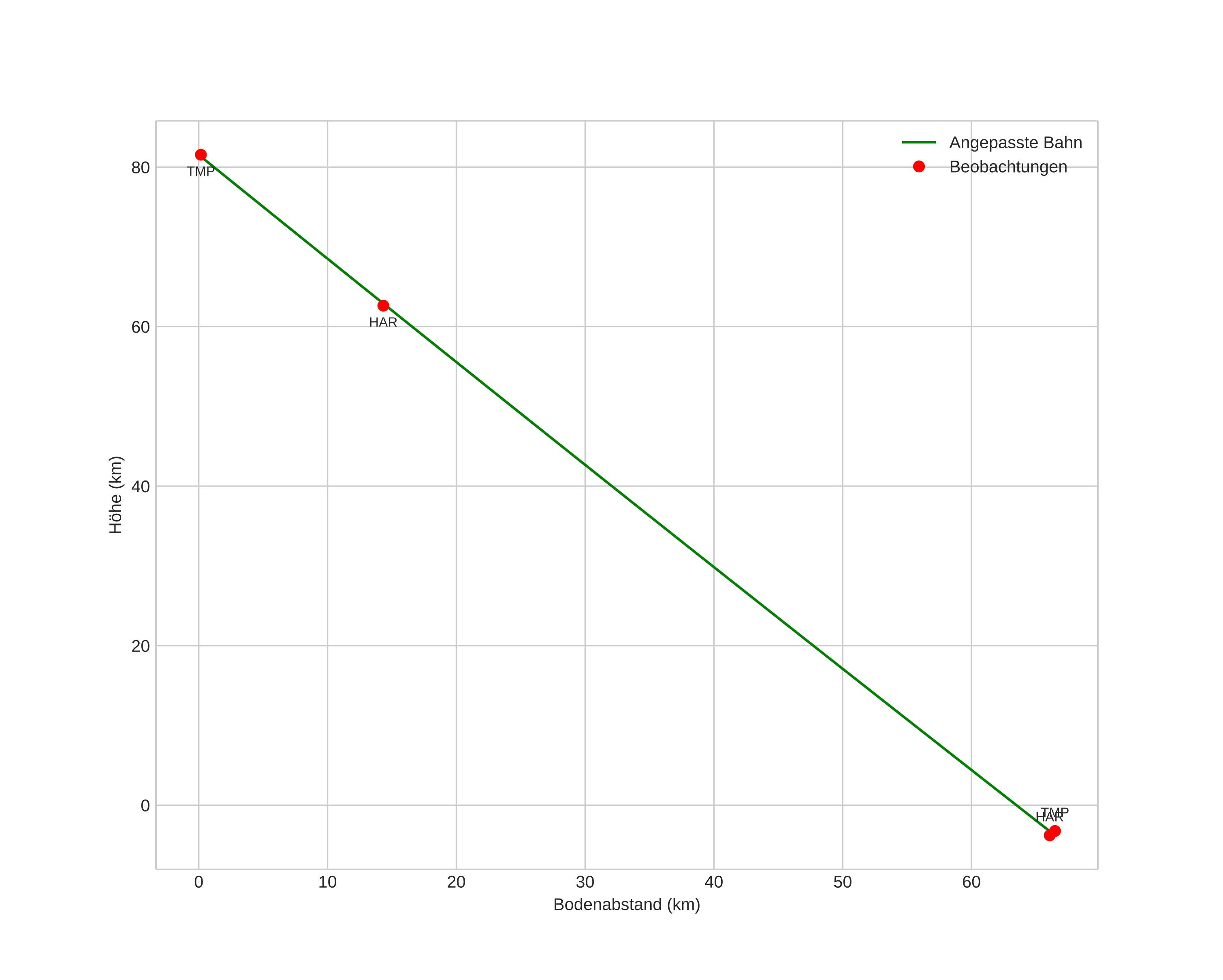
height profile
Atmosphärische Bahn des Meteors:
Anfangshöhe: 81,5 km
Endhöhe: -3,6 km
Startposition: 59,700N 10,189E
Endposition: 60,230N 10,735E
Richtung: 27,0°
Neigungswinkel: 52,1°
Eintrittsgeschwindigkeit: 21,0 km/s
Rektaszension des Radianten: 21:10 (317,6°)
Deklination des Radianten: 20,5°
Meteorstrom: sporadisch
Bahnelemente des Meteoroiden:
Periheldistanz: 0,987 AU
Exzentrizität: 1,355
Inklination: 12,9°
Länge des aufsteigenden Knotens: 241,4°
Argument des Perihels: 178,6°
Mittlere Anomalie: 0,2°
Epoche: 2017 NOV 23 17:36:40
orbit

Nicht-interaktives Diagramm | Interaktives Diagramm

position vs time
speed & acceleration