🇳🇴 🇬🇧 🇩🇪 🇨🇿 🇫🇮

Meteor, poloha: Kirkenær 2017-11-24 18:18:51 UTC

Harestua 3
Harestua 3
Harestua 4
Harestua 4
Temp 1
Temp 1
Voksenlia 1
Voksenlia 1
Voksenlia 3
Voksenlia 3

Soubor KML  | Interaktivní mapa

map

Mapa zobrazuje dráhy meteoru. Světlejší čáry ukazují směry od pozorovacích stanic při objevení se meteoru a tmavší čáry, kde byl naposledy viděn. Modrá šipka značí viditelnou dráhu meteoru.

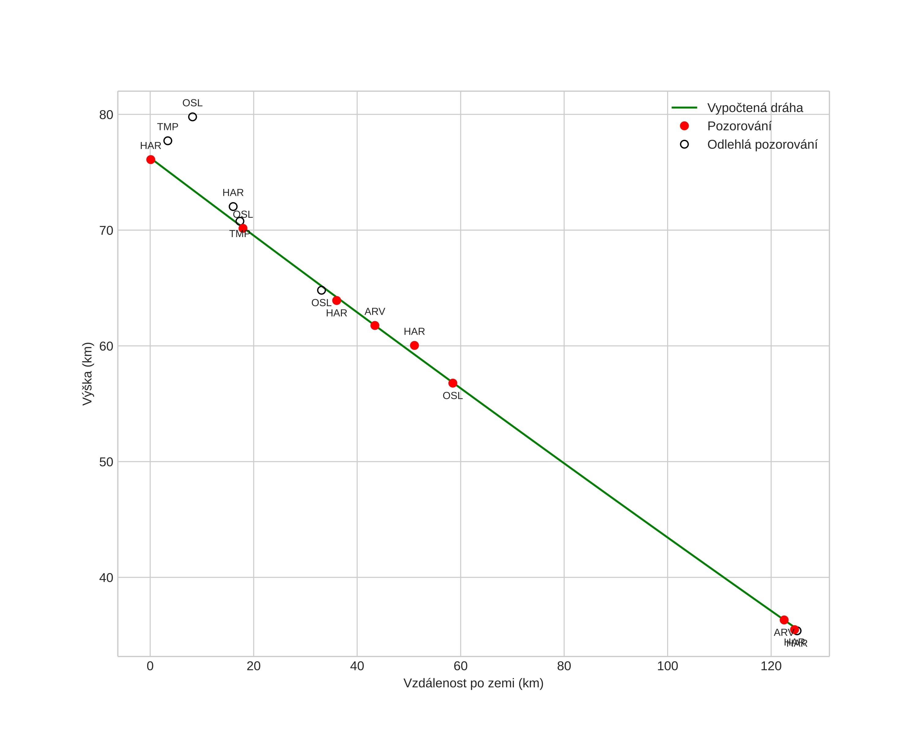
height profile
Atmosférická dráha meteoru:
Počáteční výška: 76,3 km
Konečná výška: 35,7 km
Počáteční poloha: 59,306N 11,494E
Konečná poloha: 60,320N 12,443E
Směr: 24,8°
Sklon: 18,0°
Vstupní rychlost: 12,7 km/s
Rektascenze radiantu: 21:09 (317,5°)
Deklinace radiantu: -36,5°
Meteorický roj: sporadický
Elementy dráhy meteoroidu:
Vzdálenost v periheliu: 0,982 AU
Excentricita: 0,433
Sklon dráhy: 3,4°
Délka vzestupného uzlu: 62,5°
Argument perihelia: 348,9°
Střední anomálie: 4,0°
Epocha: 2017 NOV 24 18:18:51
orbit

Neinteraktivní graf | Interaktivní graf

position vs time
speed & acceleration