🇳🇴 🇬🇧 🇩🇪 🇨🇿 🇫🇮

Meteor über Kirkenær 2017-11-24 18:18:51 UTC

Harestua 3
Harestua 3
Harestua 4
Harestua 4
Temp 1
Temp 1
Voksenlia 1
Voksenlia 1
Voksenlia 3
Voksenlia 3

KML-Datei  | Interaktive Karte

map

Die Karte zeigt die Peilungen für den Meteor. Die helleren Linien zeigen die Richtungen von den Beobachtungsorten beim Erscheinen des Meteors, und die dunkleren Linien, wo er zuletzt gesehen wurde. Der blaue Pfeil zeigt die sichtbare Bahn des Meteors.

height profile
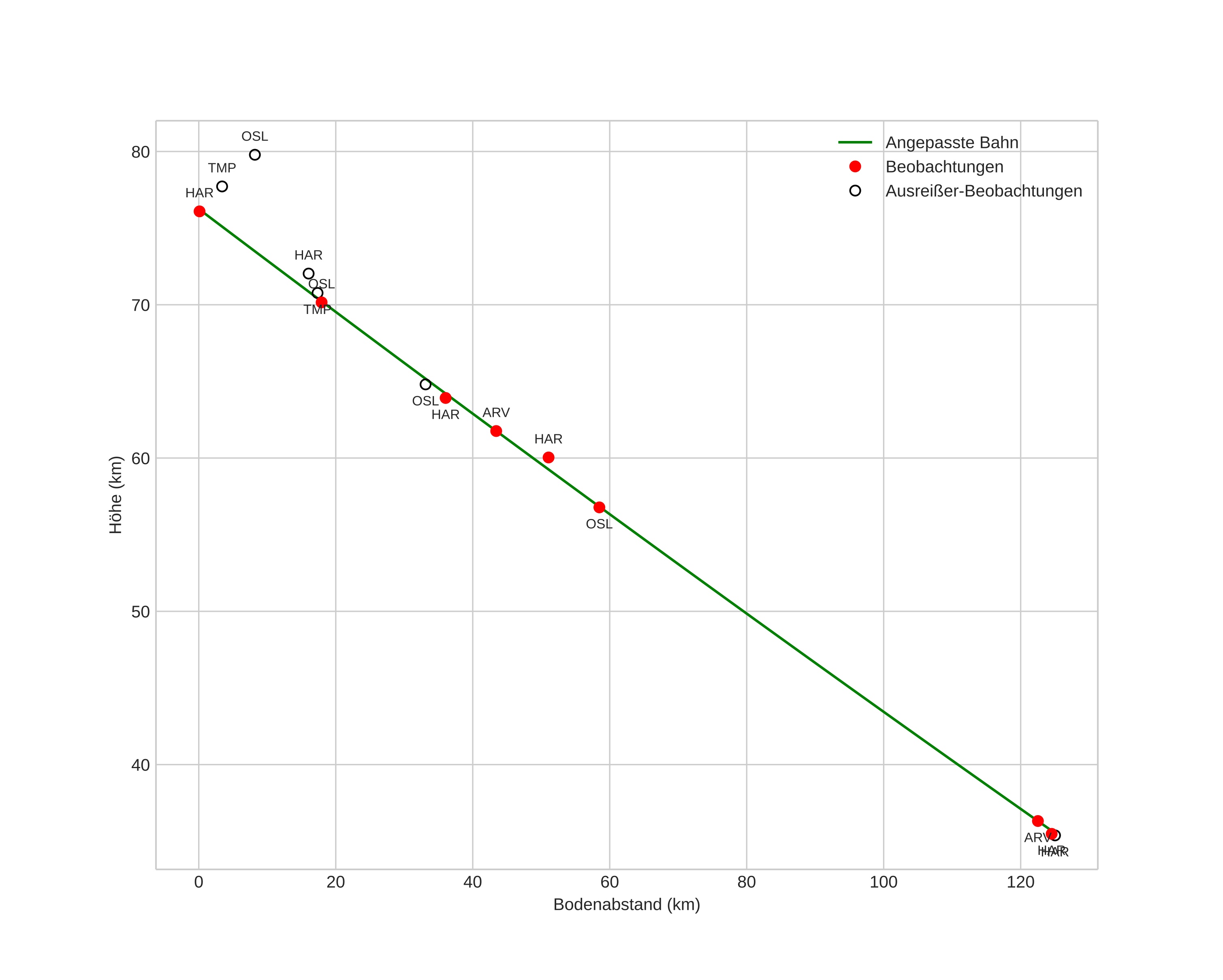
Atmosphärische Bahn des Meteors:
Anfangshöhe: 76,3 km
Endhöhe: 35,7 km
Startposition: 59,306N 11,494E
Endposition: 60,320N 12,443E
Richtung: 24,8°
Neigungswinkel: 18,0°
Eintrittsgeschwindigkeit: 12,7 km/s
Rektaszension des Radianten: 21:09 (317,5°)
Deklination des Radianten: -36,5°
Meteorstrom: sporadisch
Bahnelemente des Meteoroiden:
Periheldistanz: 0,982 AU
Exzentrizität: 0,433
Inklination: 3,4°
Länge des aufsteigenden Knotens: 62,5°
Argument des Perihels: 348,9°
Mittlere Anomalie: 4,0°
Epoche: 2017 NOV 24 18:18:51
orbit

Nicht-interaktives Diagramm | Interaktives Diagramm

position vs time
speed & acceleration