🇳🇴 🇬🇧 🇩🇪 🇨🇿 🇫🇮

Meteor, poloha: Ă…gotnes 2017-12-03 05:05:33 UTC

Soubor KML  |  InteraktivnĂ­ mapa

Mapa zobrazuje dráhy meteoru. Světlejší čáry ukazují směry od pozorovacích stanic při objevení se meteoru a tmavší čáry, kde byl naposledy viděn. Modrá šipka značí viditelnou dráhu meteoru.

static map
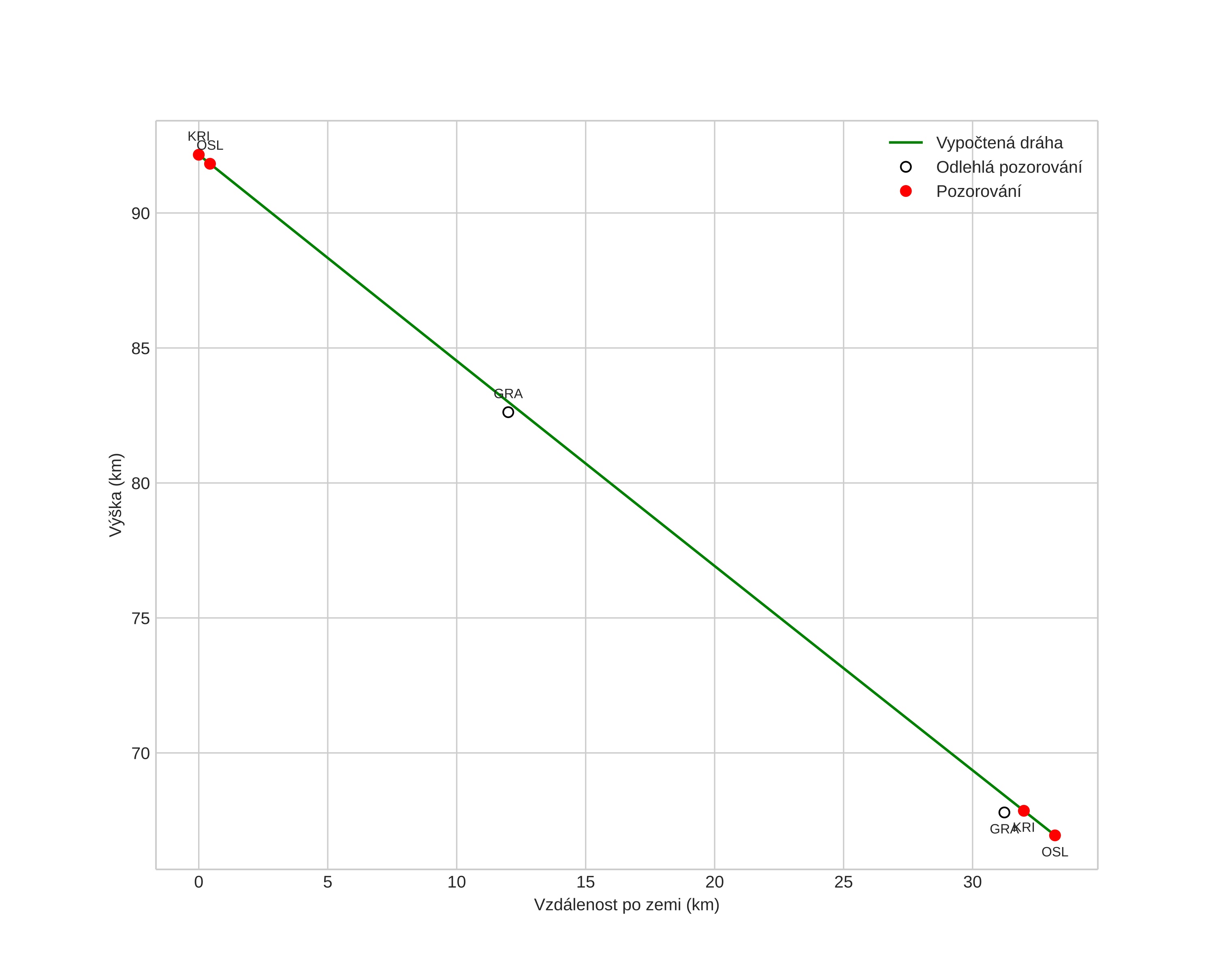
height profile
Atmosférická dráha meteoru:
Počáteční výška: 92,2 km
Konečná výška: 66,9 km
Počáteční poloha: 60,312N 3,995E
Konečná poloha: 60,365N 4,589E
Směr: 79,4°
Sklon: 37,3°
VstupnĂ­ rychlost: 44,1 km/s
Rektascenze radiantu: 06:01 (90,3°)
Deklinace radiantu: 26,1°
MeteorickĂ˝ roj: sporadickĂ˝
Elementy dráhy meteoroidu:
Vzdálenost v periheliu: 0,142 AU
Excentricita: 1,019
Sklon dráhy: 7,0°
Délka vzestupného uzlu: 251,0°
Argument perihelia: 314,1°
Střední anomálie: -1,5°
Epocha: 2017 DEC 03 05:05:33
orbit plot

NeinteraktivnĂ­ graf | InteraktivnĂ­ graf

position vs time
speed and acceleration