🇳🇴 🇬🇧 🇩🇪 🇨🇿 🇫🇮

Meteor Ågotnesin yllä 2017-12-03 05:05:33 UTC

KML-tiedosto  |  Interaktiivinen kartta

Kartta näyttää meteorin suuntahavainnot. Vaaleammat viivat näyttävät suunnat havaintoasemilta meteorin ilmestyessä, ja tummemmat viivat näyttävät, missä se viimeksi nähtiin. Sininen nuoli näyttää meteorin näkyvän lennon.

static map
height profile
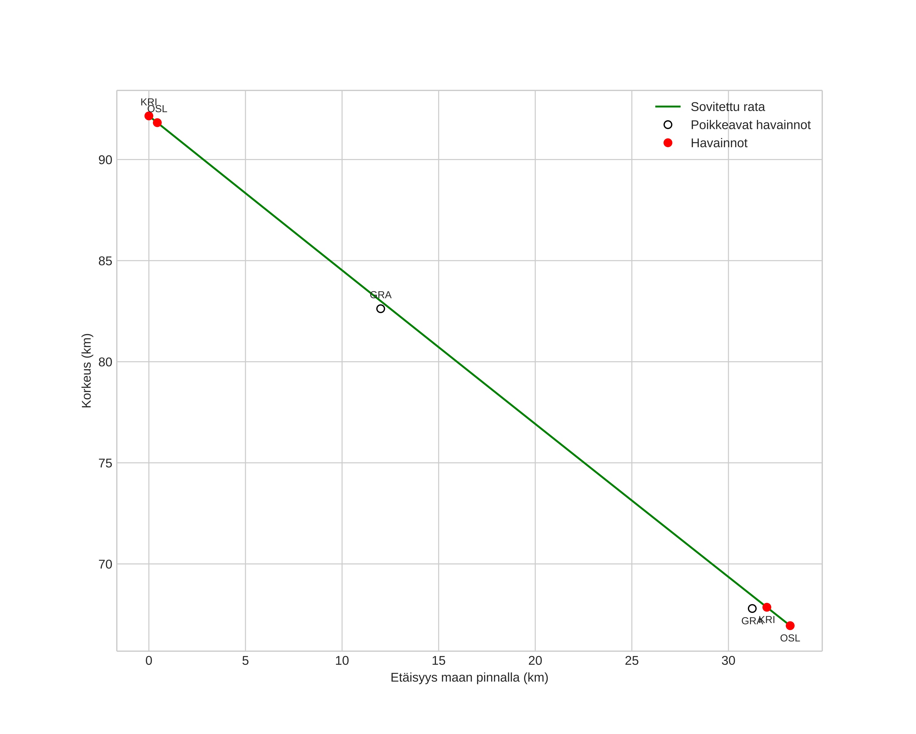
Meteorin ilmakehärata:
Alkukorkeus: 92,2 km
Loppukorkeus: 66,9 km
Alkupiste: 60,312N 3,995E
Loppupiste: 60,365N 4,589E
Suunta: 79,4°
Kallistuskulma: 37,3°
Tulonopeus: 44,1 km/s
Radiantin R,A,: 06:01 (90,3°)
Radiantin Dekl,: 26,1°
Meteoriparvi: Sporadinen
Meteoroidin rataelementit:
Perihelietäisyys: 0,142 AU
Eksentrisyys: 1,019
Inklinaatio: 7,0°
Nousevan solmun pituus: 251,0°
Perihelin argumentti: 314,1°
Keskianomalia: -1,5°
Epookki: 2017 DEC 03 05:05:33
orbit plot

Ei-interaktiivinen kuvaaja | Interaktiivinen kuvaaja

position vs time
speed and acceleration