🇳🇴 🇬🇧 🇩🇪 🇨🇿 🇫🇮

Meteor, poloha: Charlottenberg 2017-12-03 05:58:17 UTC

Soubor KML  |  InteraktivnĂ­ mapa

Mapa zobrazuje dráhy meteoru. Světlejší čáry ukazují směry od pozorovacích stanic při objevení se meteoru a tmavší čáry, kde byl naposledy viděn. Modrá šipka značí viditelnou dráhu meteoru.

static map
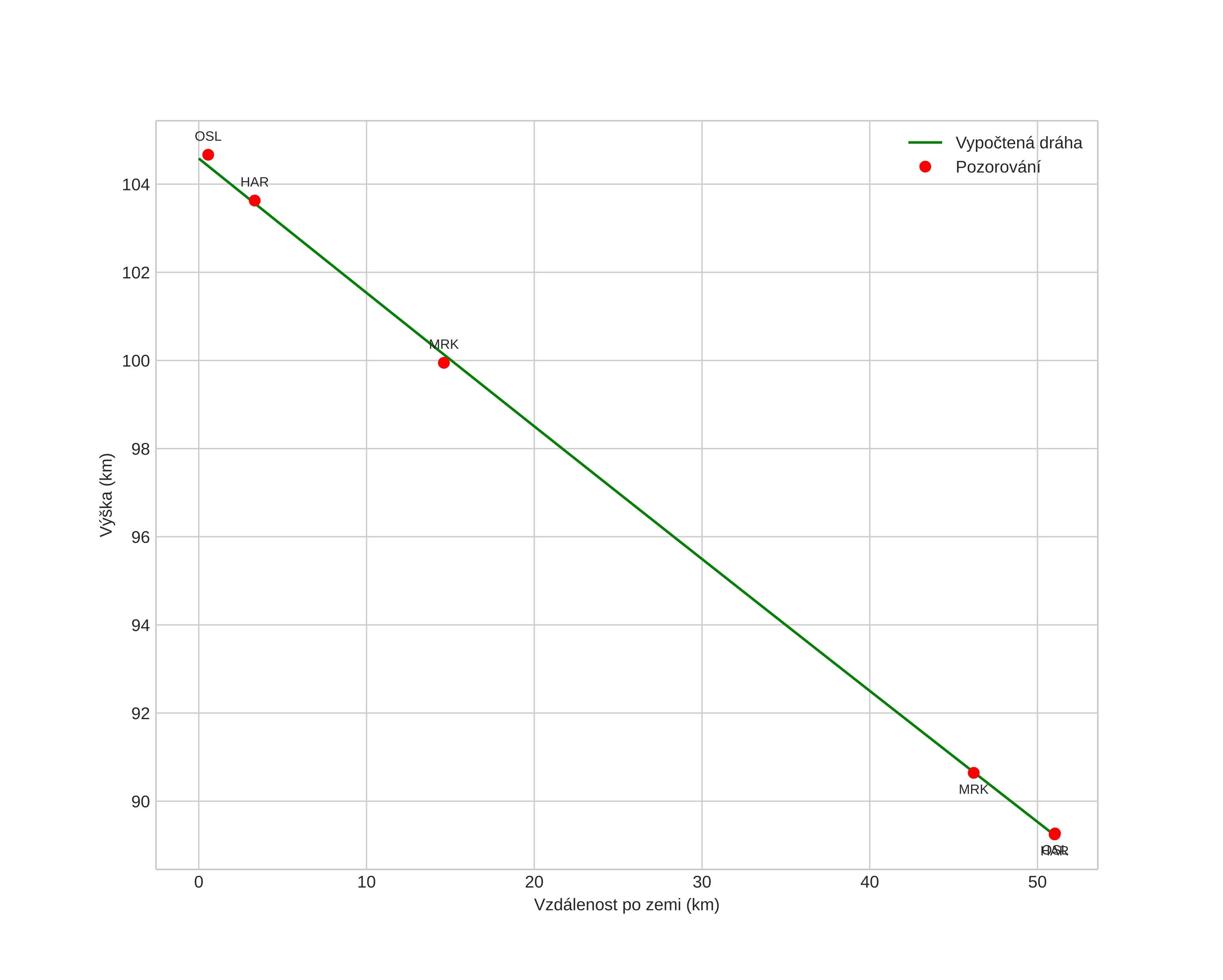
height profile
Atmosférická dráha meteoru:
Počáteční výška: 104,6 km
Konečná výška: 89,2 km
Počáteční poloha: 60,180N 11,568E
Konečná poloha: 60,217N 12,489E
Směr: 85,0°
Sklon: 16,8°
VstupnĂ­ rychlost: 44,3 km/s
Rektascenze radiantu: 06:20 (95,1°)
Deklinace radiantu: 10,8°
MeteorickĂ˝ roj: Monocerotidy
Elementy dráhy meteoroidu:
Vzdálenost v periheliu: 0,141 AU
Excentricita: 0,993
Sklon dráhy: 35,8°
Délka vzestupného uzlu: 71,0°
Argument perihelia: 136,1°
Střední anomálie: 359,6°
Epocha: 2017 DEC 03 05:58:17
orbit plot

NeinteraktivnĂ­ graf | InteraktivnĂ­ graf

position vs time
speed and acceleration