🇳🇴 🇬🇧 🇩🇪 🇨🇿 🇫🇮

Meteor Charlottenbergin yllä 2017-12-03 05:58:17 UTC

KML-tiedosto  |  Interaktiivinen kartta

Kartta näyttää meteorin suuntahavainnot. Vaaleammat viivat näyttävät suunnat havaintoasemilta meteorin ilmestyessä, ja tummemmat viivat näyttävät, missä se viimeksi nähtiin. Sininen nuoli näyttää meteorin näkyvän lennon.

static map
height profile
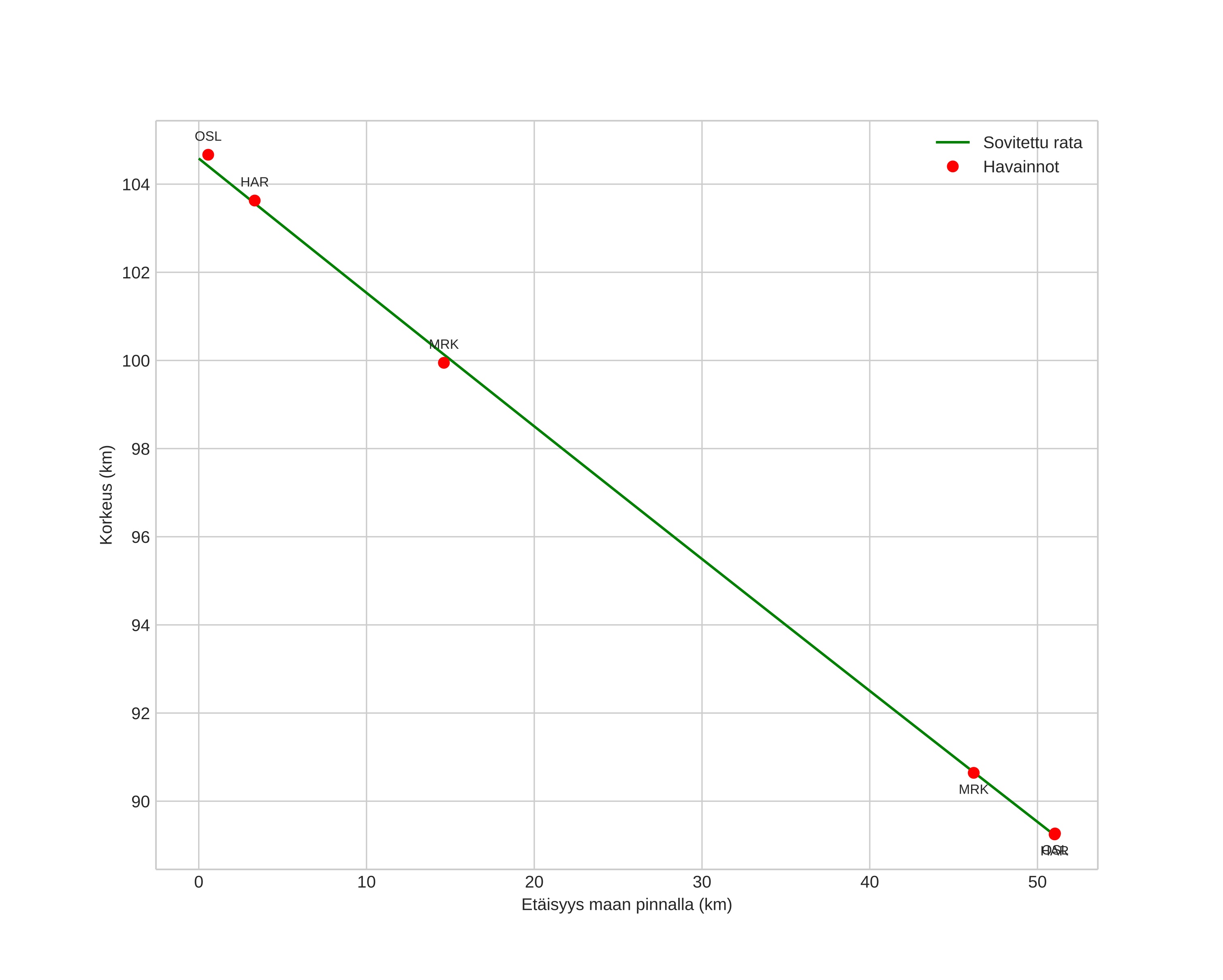
Meteorin ilmakehärata:
Alkukorkeus: 104,6 km
Loppukorkeus: 89,2 km
Alkupiste: 60,180N 11,568E
Loppupiste: 60,217N 12,489E
Suunta: 85,0°
Kallistuskulma: 16,8°
Tulonopeus: 44,3 km/s
Radiantin R,A,: 06:20 (95,1°)
Radiantin Dekl,: 10,8°
Meteoriparvi: Monoserotidit
Meteoroidin rataelementit:
Perihelietäisyys: 0,141 AU
Eksentrisyys: 0,993
Inklinaatio: 35,8°
Nousevan solmun pituus: 71,0°
Perihelin argumentti: 136,1°
Keskianomalia: 359,6°
Epookki: 2017 DEC 03 05:58:17
orbit plot

Ei-interaktiivinen kuvaaja | Interaktiivinen kuvaaja

position vs time
speed and acceleration