🇳🇴 🇬🇧 🇩🇪 🇨🇿 🇫🇮

Meteor, poloha: Vigeland 2017-12-03 21:32:15 UTC

Soubor KML  |  InteraktivnĂ­ mapa

Mapa zobrazuje dráhy meteoru. Světlejší čáry ukazují směry od pozorovacích stanic při objevení se meteoru a tmavší čáry, kde byl naposledy viděn. Modrá šipka značí viditelnou dráhu meteoru.

static map
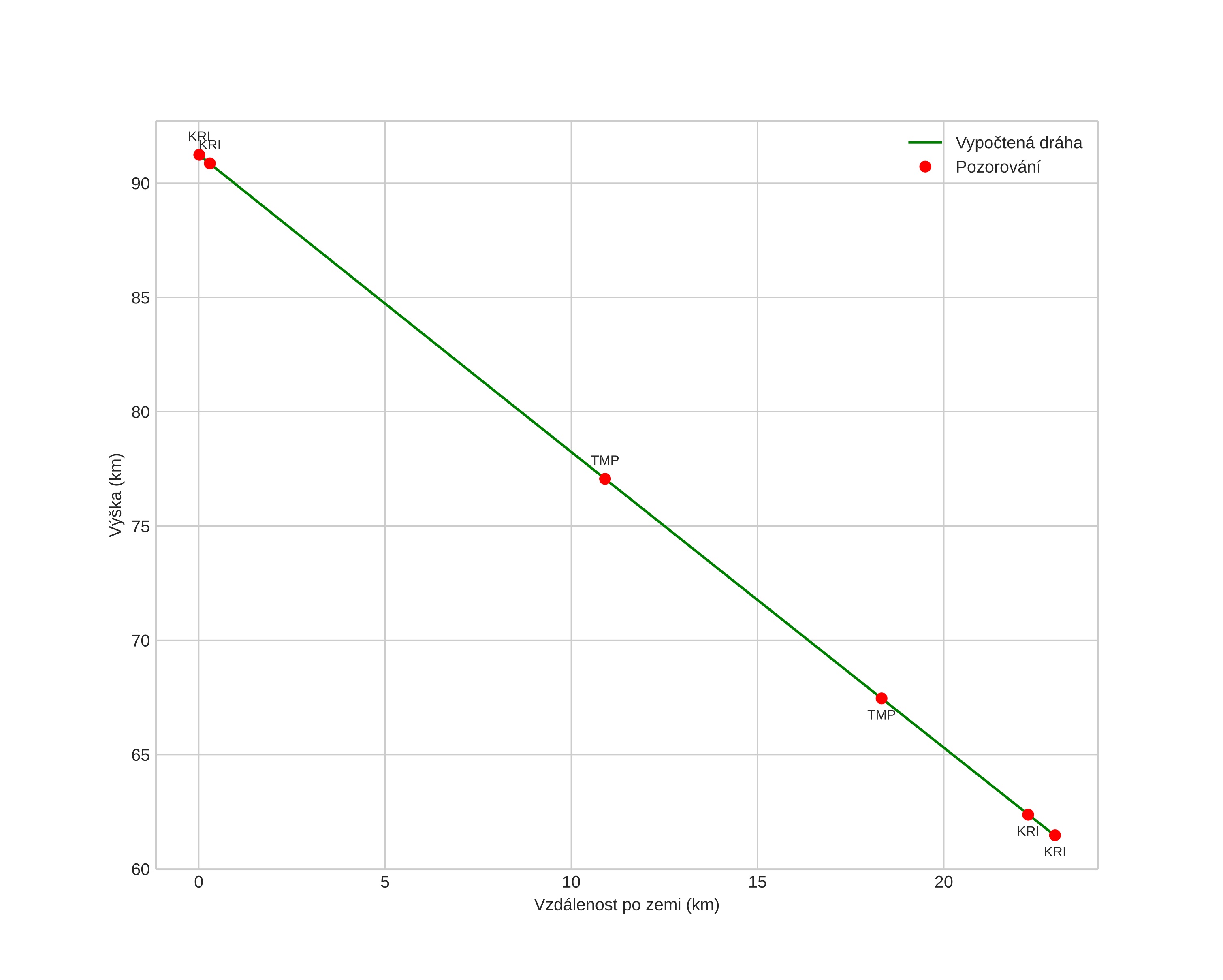
height profile
Atmosférická dráha meteoru:
Počáteční výška: 91,2 km
Konečná výška: 61,5 km
Počáteční poloha: 57,933N 7,631E
Konečná poloha: 58,067N 7,335E
Směr: 310,6°
Sklon: 52,3°
VstupnĂ­ rychlost: 27,8 km/s
Rektascenze radiantu: 05:00 (75,1°)
Deklinace radiantu: 25,8°
MeteorickĂ˝ roj: SevernĂ­ Tauridy
Elementy dráhy meteoroidu:
Vzdálenost v periheliu: 0,479 AU
Excentricita: 0,803
Sklon dráhy: 2,7°
Délka vzestupného uzlu: 251,6°
Argument perihelia: 278,9°
Střední anomálie: 348,7°
Epocha: 2017 DEC 03 21:32:15
orbit plot

NeinteraktivnĂ­ graf | InteraktivnĂ­ graf

position vs time
speed and acceleration