🇳🇴 🇬🇧 🇩🇪 🇨🇿 🇫🇮

Meteor Vigelandin yllä 2017-12-03 21:32:15 UTC

KML-tiedosto  |  Interaktiivinen kartta

Kartta näyttää meteorin suuntahavainnot. Vaaleammat viivat näyttävät suunnat havaintoasemilta meteorin ilmestyessä, ja tummemmat viivat näyttävät, missä se viimeksi nähtiin. Sininen nuoli näyttää meteorin näkyvän lennon.

static map
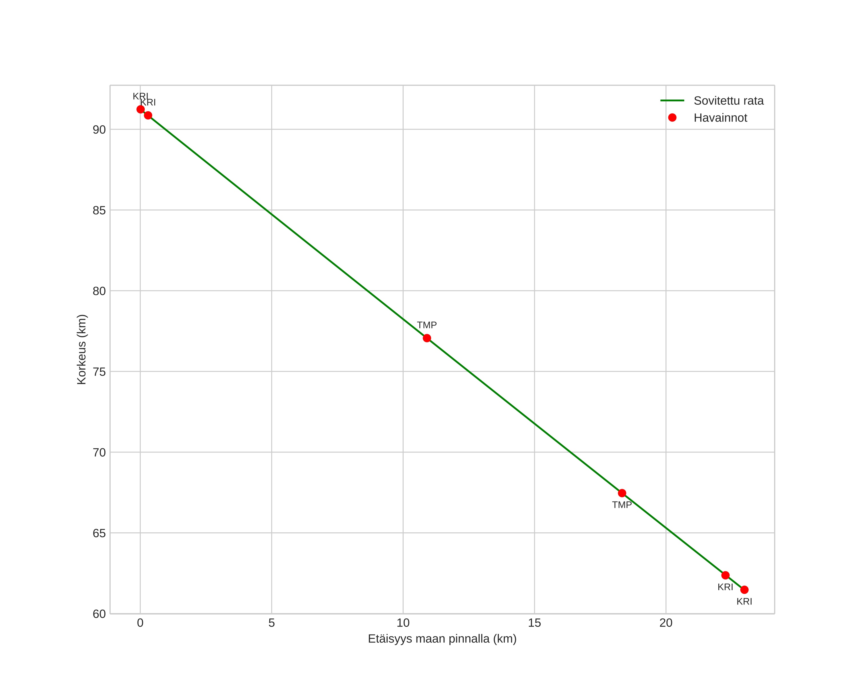
height profile
Meteorin ilmakehärata:
Alkukorkeus: 91,2 km
Loppukorkeus: 61,5 km
Alkupiste: 57,933N 7,631E
Loppupiste: 58,067N 7,335E
Suunta: 310,6°
Kallistuskulma: 52,3°
Tulonopeus: 27,8 km/s
Radiantin R,A,: 05:00 (75,1°)
Radiantin Dekl,: 25,8°
Meteoriparvi: Pohjoiset tauridit
Meteoroidin rataelementit:
Perihelietäisyys: 0,479 AU
Eksentrisyys: 0,803
Inklinaatio: 2,7°
Nousevan solmun pituus: 251,6°
Perihelin argumentti: 278,9°
Keskianomalia: 348,7°
Epookki: 2017 DEC 03 21:32:15
orbit plot

Ei-interaktiivinen kuvaaja | Interaktiivinen kuvaaja

position vs time
speed and acceleration