🇳🇴 🇬🇧 🇩🇪 🇨🇿 🇫🇮

Meteor, poloha: Lerwick 2017-12-09 20:07:09 UTC

Soubor KML  |  InteraktivnĂ­ mapa

Mapa zobrazuje dráhy meteoru. Světlejší čáry ukazují směry od pozorovacích stanic při objevení se meteoru a tmavší čáry, kde byl naposledy viděn. Modrá šipka značí viditelnou dráhu meteoru.

static map
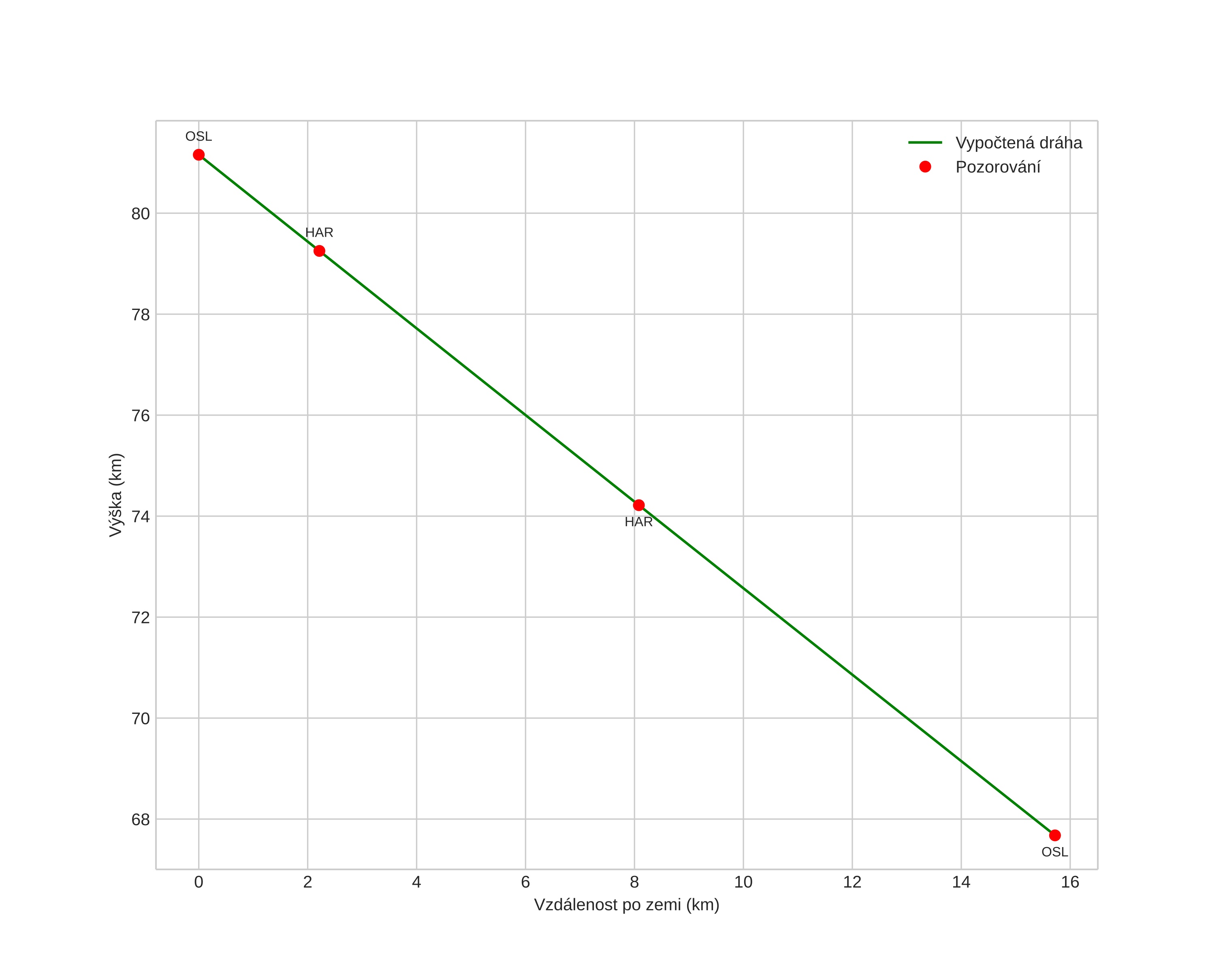
height profile
Atmosférická dráha meteoru:
Počáteční výška: 81,2 km
Konečná výška: 67,7 km
Počáteční poloha: 60,103N 0,863E
Konečná poloha: 60,183N 0,629E
Směr: 304,5°
Sklon: 40,7°
VstupnĂ­ rychlost: 19,8 km/s
Rektascenze radiantu: 04:18 (64,6°)
Deklinace radiantu: 16,1°
MeteorickĂ˝ roj: sporadickĂ˝
Elementy dráhy meteoroidu:
Vzdálenost v periheliu: 0,750 AU
Excentricita: 0,652
Sklon dráhy: 2,5°
Délka vzestupného uzlu: 77,8°
Argument perihelia: 66,6°
Střední anomálie: 347,1°
Epocha: 2017 DEC 09 20:07:09
orbit plot

NeinteraktivnĂ­ graf | InteraktivnĂ­ graf

position vs time
speed and acceleration