🇳🇴 🇬🇧 🇩🇪 🇨🇿 🇫🇮

Meteor Lerwickin yllä 2017-12-09 20:07:09 UTC

KML-tiedosto  |  Interaktiivinen kartta

Kartta näyttää meteorin suuntahavainnot. Vaaleammat viivat näyttävät suunnat havaintoasemilta meteorin ilmestyessä, ja tummemmat viivat näyttävät, missä se viimeksi nähtiin. Sininen nuoli näyttää meteorin näkyvän lennon.

static map
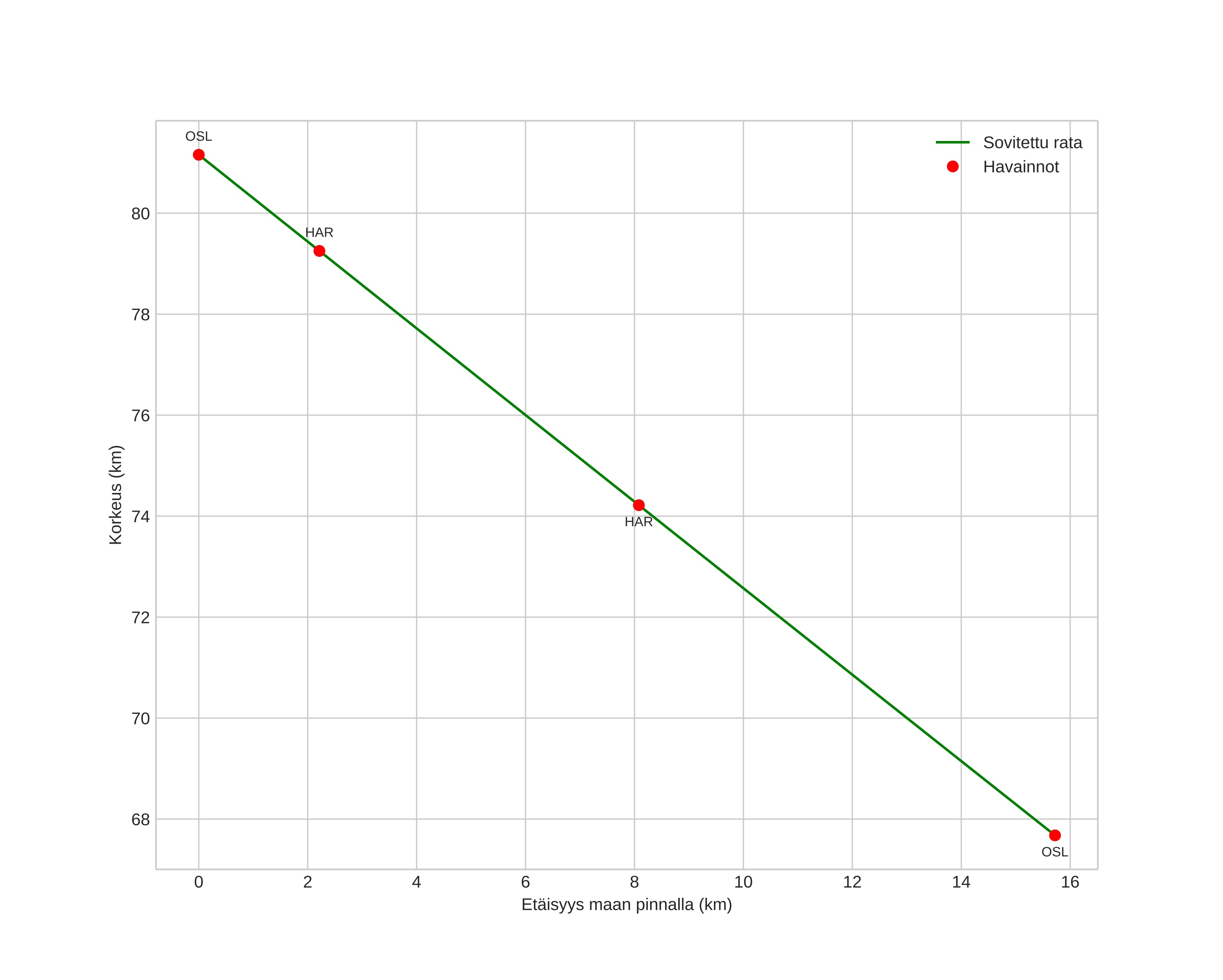
height profile
Meteorin ilmakehärata:
Alkukorkeus: 81,2 km
Loppukorkeus: 67,7 km
Alkupiste: 60,103N 0,863E
Loppupiste: 60,183N 0,629E
Suunta: 304,5°
Kallistuskulma: 40,7°
Tulonopeus: 19,8 km/s
Radiantin R,A,: 04:18 (64,6°)
Radiantin Dekl,: 16,1°
Meteoriparvi: Sporadinen
Meteoroidin rataelementit:
Perihelietäisyys: 0,750 AU
Eksentrisyys: 0,652
Inklinaatio: 2,5°
Nousevan solmun pituus: 77,8°
Perihelin argumentti: 66,6°
Keskianomalia: 347,1°
Epookki: 2017 DEC 09 20:07:09
orbit plot

Ei-interaktiivinen kuvaaja | Interaktiivinen kuvaaja

position vs time
speed and acceleration