🇳🇴 🇬🇧 🇩🇪 🇨🇿 🇫🇮

Meteor, poloha: Hvittingfoss 2017-12-09 22:54:32 UTC

Soubor KML  |  InteraktivnĂ­ mapa

Mapa zobrazuje dráhy meteoru. Světlejší čáry ukazují směry od pozorovacích stanic při objevení se meteoru a tmavší čáry, kde byl naposledy viděn. Modrá šipka značí viditelnou dráhu meteoru.

static map
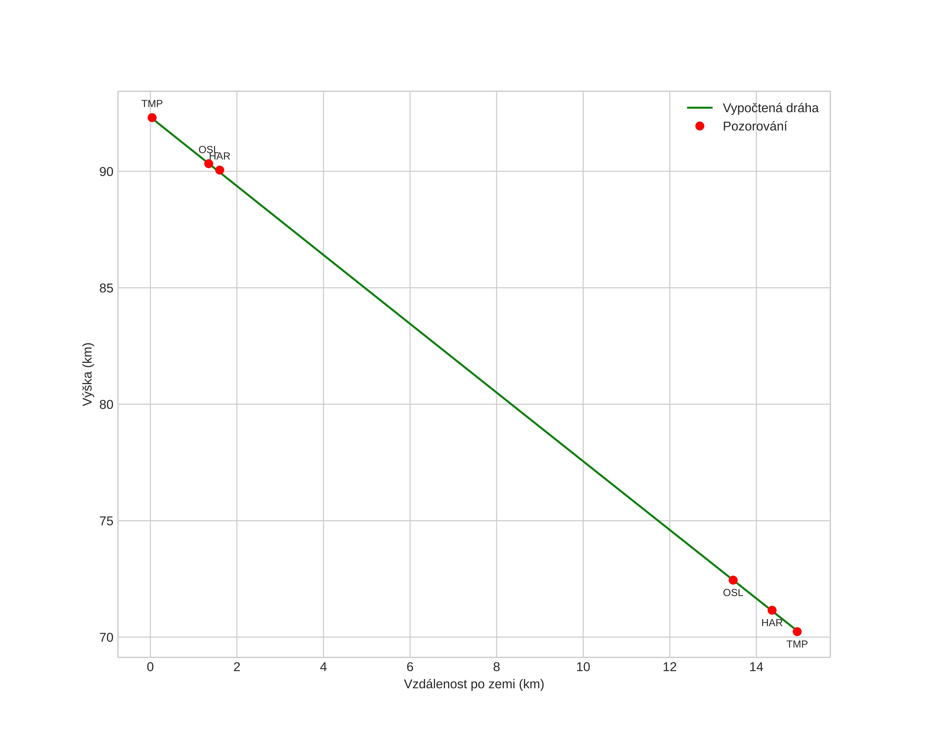
height profile
Atmosférická dráha meteoru:
Počáteční výška: 92,3 km
Konečná výška: 70,2 km
Počáteční poloha: 59,423N 10,313E
Konečná poloha: 59,491N 10,084E
Směr: 300,4°
Sklon: 55,9°
VstupnĂ­ rychlost: 36,6 km/s
Rektascenze radiantu: 07:14 (108,6°)
Deklinace radiantu: 34,0°
MeteorickĂ˝ roj: Geminidy
Elementy dráhy meteoroidu:
Vzdálenost v periheliu: 0,147 AU
Excentricita: 0,896
Sklon dráhy: 25,9°
Délka vzestupného uzlu: 257,8°
Argument perihelia: 323,2°
Střední anomálie: 338,1°
Epocha: 2017 DEC 09 22:54:32
orbit plot

NeinteraktivnĂ­ graf | InteraktivnĂ­ graf

position vs time
speed and acceleration