🇳🇴 🇬🇧 🇩🇪 🇨🇿 🇫🇮

Meteor Hvittingfossin yllä 2017-12-09 22:54:32 UTC

KML-tiedosto  |  Interaktiivinen kartta

Kartta näyttää meteorin suuntahavainnot. Vaaleammat viivat näyttävät suunnat havaintoasemilta meteorin ilmestyessä, ja tummemmat viivat näyttävät, missä se viimeksi nähtiin. Sininen nuoli näyttää meteorin näkyvän lennon.

static map
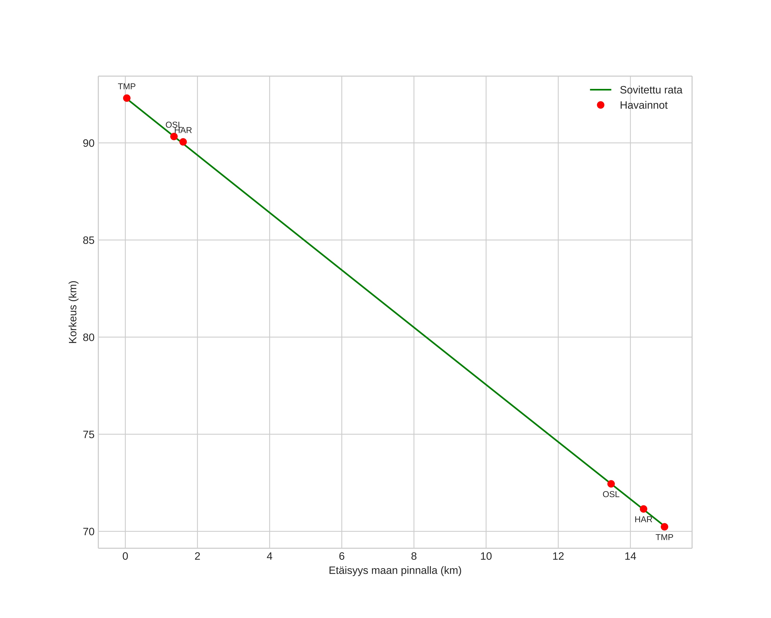
height profile
Meteorin ilmakehärata:
Alkukorkeus: 92,3 km
Loppukorkeus: 70,2 km
Alkupiste: 59,423N 10,313E
Loppupiste: 59,491N 10,084E
Suunta: 300,4°
Kallistuskulma: 55,9°
Tulonopeus: 36,6 km/s
Radiantin R,A,: 07:14 (108,6°)
Radiantin Dekl,: 34,0°
Meteoriparvi: Geminidit
Meteoroidin rataelementit:
Perihelietäisyys: 0,147 AU
Eksentrisyys: 0,896
Inklinaatio: 25,9°
Nousevan solmun pituus: 257,8°
Perihelin argumentti: 323,2°
Keskianomalia: 338,1°
Epookki: 2017 DEC 09 22:54:32
orbit plot

Ei-interaktiivinen kuvaaja | Interaktiivinen kuvaaja

position vs time
speed and acceleration