🇳🇴 🇬🇧 🇩🇪 🇨🇿 🇫🇮

Meteor, poloha: Gol 2017-12-10 04:22:58 UTC

Soubor KML  |  InteraktivnĂ­ mapa

Mapa zobrazuje dráhy meteoru. Světlejší čáry ukazují směry od pozorovacích stanic při objevení se meteoru a tmavší čáry, kde byl naposledy viděn. Modrá šipka značí viditelnou dráhu meteoru.

static map
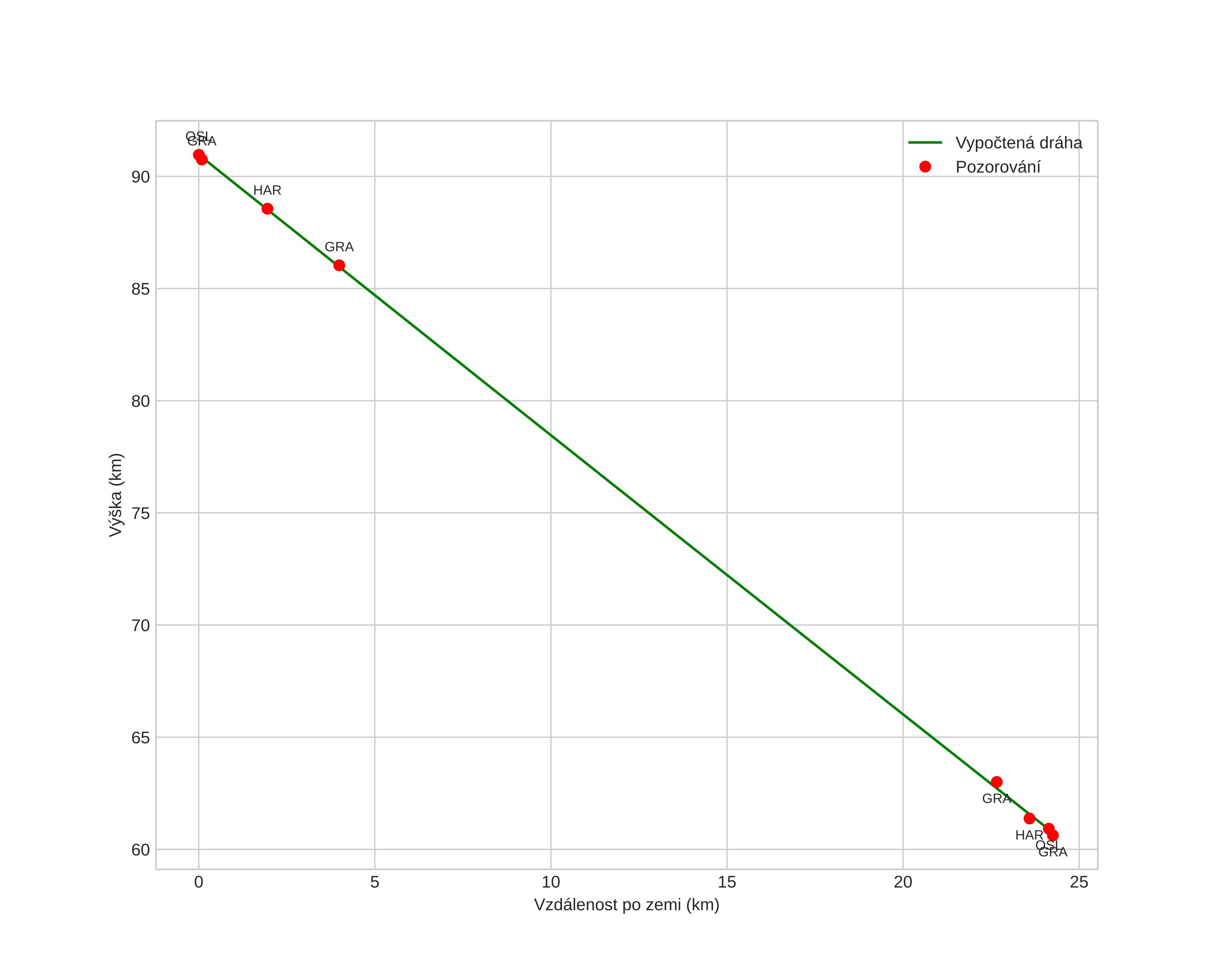
height profile
Atmosférická dráha meteoru:
Počáteční výška: 91,0 km
Konečná výška: 60,7 km
Počáteční poloha: 60,480N 8,502E
Konečná poloha: 60,576N 8,901E
Směr: 63,5°
Sklon: 51,3°
VstupnĂ­ rychlost: 33,8 km/s
Rektascenze radiantu: 07:20 (110,2°)
Deklinace radiantu: 31,6°
MeteorickĂ˝ roj: Geminidy
Elementy dráhy meteoroidu:
Vzdálenost v periheliu: 0,143 AU
Excentricita: 0,873
Sklon dráhy: 19,4°
Délka vzestupného uzlu: 258,0°
Argument perihelia: 326,5°
Střední anomálie: 327,9°
Epocha: 2017 DEC 10 04:22:58
orbit plot

NeinteraktivnĂ­ graf | InteraktivnĂ­ graf

position vs time
speed and acceleration