🇳🇴 🇬🇧 🇩🇪 🇨🇿 🇫🇮

Meteor Golin yllä 2017-12-10 04:22:58 UTC

KML-tiedosto  |  Interaktiivinen kartta

Kartta näyttää meteorin suuntahavainnot. Vaaleammat viivat näyttävät suunnat havaintoasemilta meteorin ilmestyessä, ja tummemmat viivat näyttävät, missä se viimeksi nähtiin. Sininen nuoli näyttää meteorin näkyvän lennon.

static map
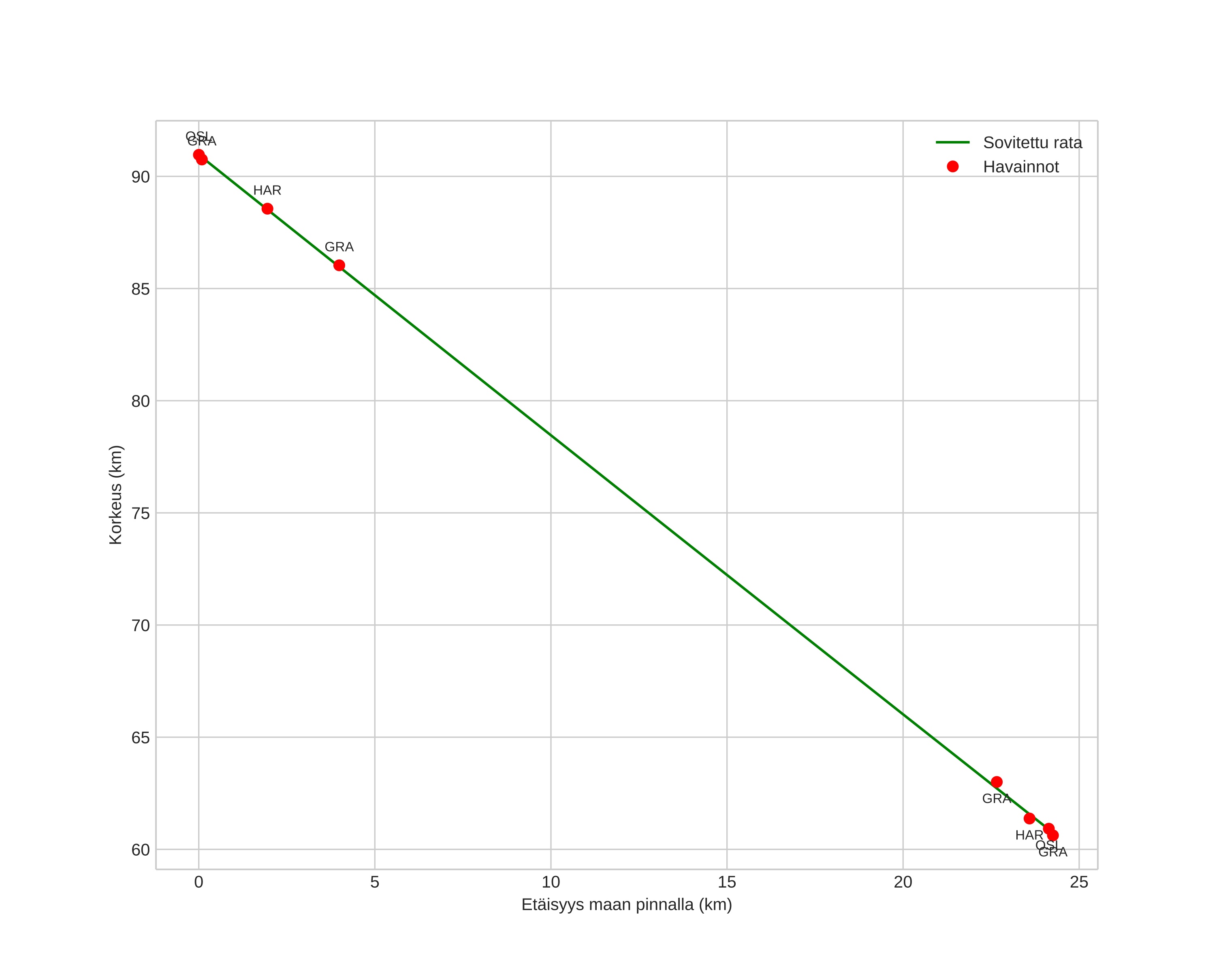
height profile
Meteorin ilmakehärata:
Alkukorkeus: 91,0 km
Loppukorkeus: 60,7 km
Alkupiste: 60,480N 8,502E
Loppupiste: 60,576N 8,901E
Suunta: 63,5°
Kallistuskulma: 51,3°
Tulonopeus: 33,8 km/s
Radiantin R,A,: 07:20 (110,2°)
Radiantin Dekl,: 31,6°
Meteoriparvi: Geminidit
Meteoroidin rataelementit:
Perihelietäisyys: 0,143 AU
Eksentrisyys: 0,873
Inklinaatio: 19,4°
Nousevan solmun pituus: 258,0°
Perihelin argumentti: 326,5°
Keskianomalia: 327,9°
Epookki: 2017 DEC 10 04:22:58
orbit plot

Ei-interaktiivinen kuvaaja | Interaktiivinen kuvaaja

position vs time
speed and acceleration