🇳🇴 🇬🇧 🇩🇪 🇨🇿 🇫🇮

Meteor, poloha: Kiruna 2017-12-11 17:39:49 UTC

Soubor KML  |  InteraktivnĂ­ mapa

Mapa zobrazuje dráhy meteoru. Světlejší čáry ukazují směry od pozorovacích stanic při objevení se meteoru a tmavší čáry, kde byl naposledy viděn. Modrá šipka značí viditelnou dráhu meteoru.

static map
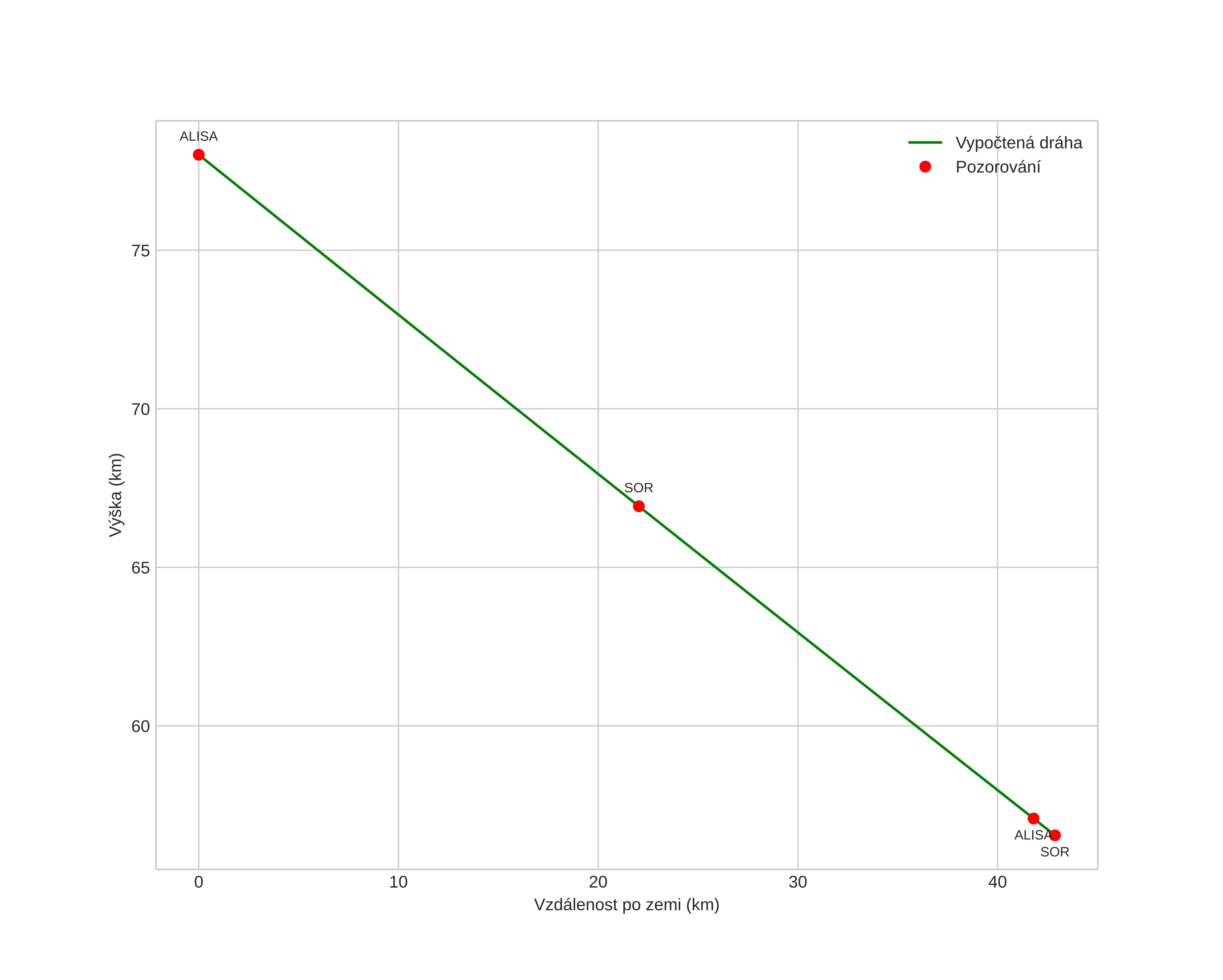
height profile
Atmosférická dráha meteoru:
Počáteční výška: 78,0 km
Konečná výška: 56,5 km
Počáteční poloha: 68,631N 20,740E
Konečná poloha: 68,461N 19,794E
Směr: 244,4°
Sklon: 26,6°
VstupnĂ­ rychlost: 34,5 km/s
Rektascenze radiantu: 07:22 (110,6°)
Deklinace radiantu: 32,3°
MeteorickĂ˝ roj: Geminidy
Elementy dráhy meteoroidu:
Vzdálenost v periheliu: 0,155 AU
Excentricita: 0,873
Sklon dráhy: 20,6°
Délka vzestupného uzlu: 259,6°
Argument perihelia: 324,0°
Střední anomálie: 331,5°
Epocha: 2017 DEC 11 17:39:49
orbit plot

NeinteraktivnĂ­ graf | InteraktivnĂ­ graf

position vs time
speed and acceleration