🇳🇴 🇬🇧 🇩🇪 🇨🇿 🇫🇮

Meteor Kirunan yllä 2017-12-11 17:39:49 UTC

KML-tiedosto  |  Interaktiivinen kartta

Kartta näyttää meteorin suuntahavainnot. Vaaleammat viivat näyttävät suunnat havaintoasemilta meteorin ilmestyessä, ja tummemmat viivat näyttävät, missä se viimeksi nähtiin. Sininen nuoli näyttää meteorin näkyvän lennon.

static map
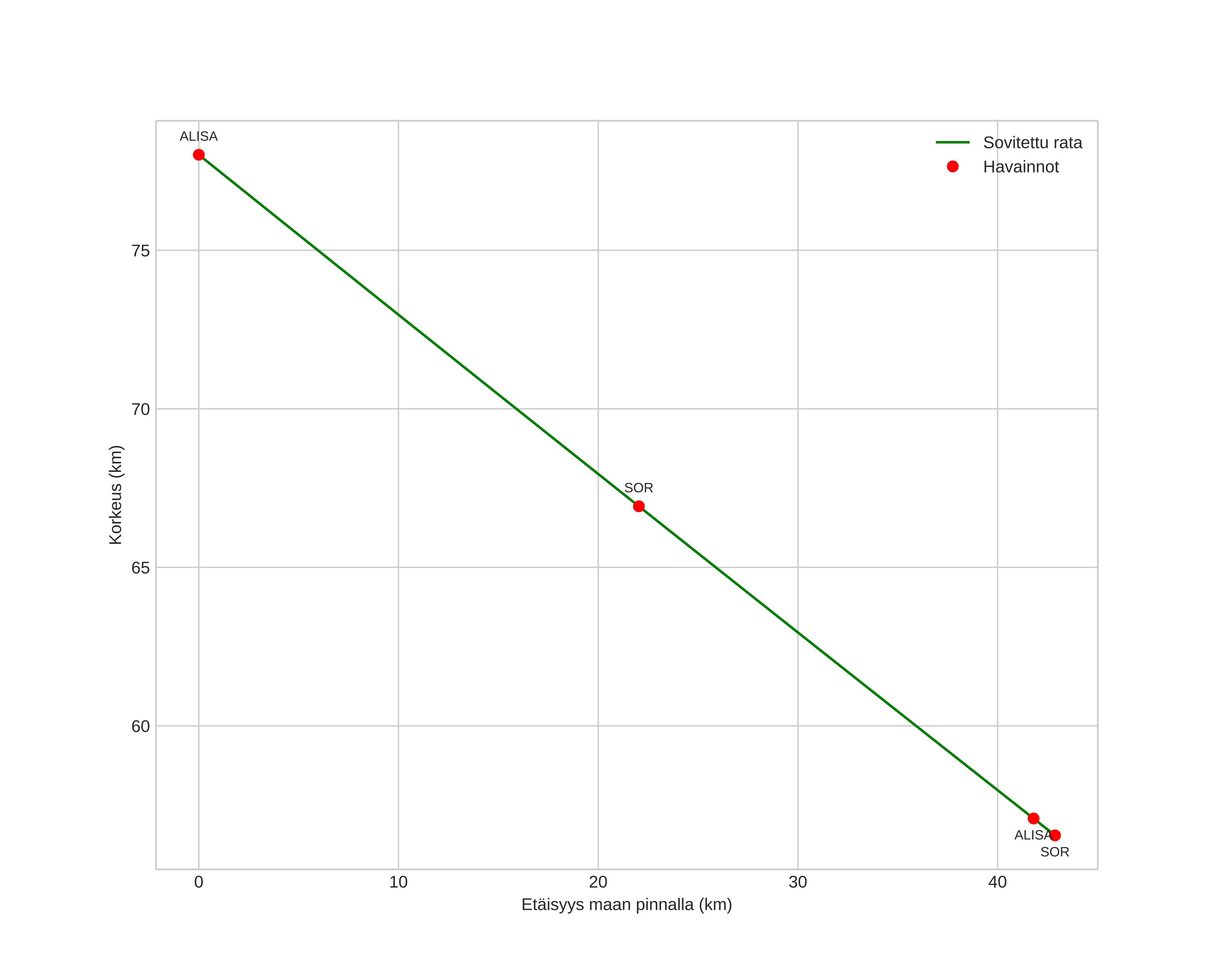
height profile
Meteorin ilmakehärata:
Alkukorkeus: 78,0 km
Loppukorkeus: 56,5 km
Alkupiste: 68,631N 20,740E
Loppupiste: 68,461N 19,794E
Suunta: 244,4°
Kallistuskulma: 26,6°
Tulonopeus: 34,5 km/s
Radiantin R,A,: 07:22 (110,6°)
Radiantin Dekl,: 32,3°
Meteoriparvi: Geminidit
Meteoroidin rataelementit:
Perihelietäisyys: 0,155 AU
Eksentrisyys: 0,873
Inklinaatio: 20,6°
Nousevan solmun pituus: 259,6°
Perihelin argumentti: 324,0°
Keskianomalia: 331,5°
Epookki: 2017 DEC 11 17:39:49
orbit plot

Ei-interaktiivinen kuvaaja | Interaktiivinen kuvaaja

position vs time
speed and acceleration