🇳🇴 🇬🇧 🇩🇪 🇨🇿 🇫🇮

Meteor, poloha: Setermoen 2017-12-12 18:54:16 UTC

Soubor KML  |  InteraktivnĂ­ mapa

Mapa zobrazuje dráhy meteoru. Světlejší čáry ukazují směry od pozorovacích stanic při objevení se meteoru a tmavší čáry, kde byl naposledy viděn. Modrá šipka značí viditelnou dráhu meteoru.

static map
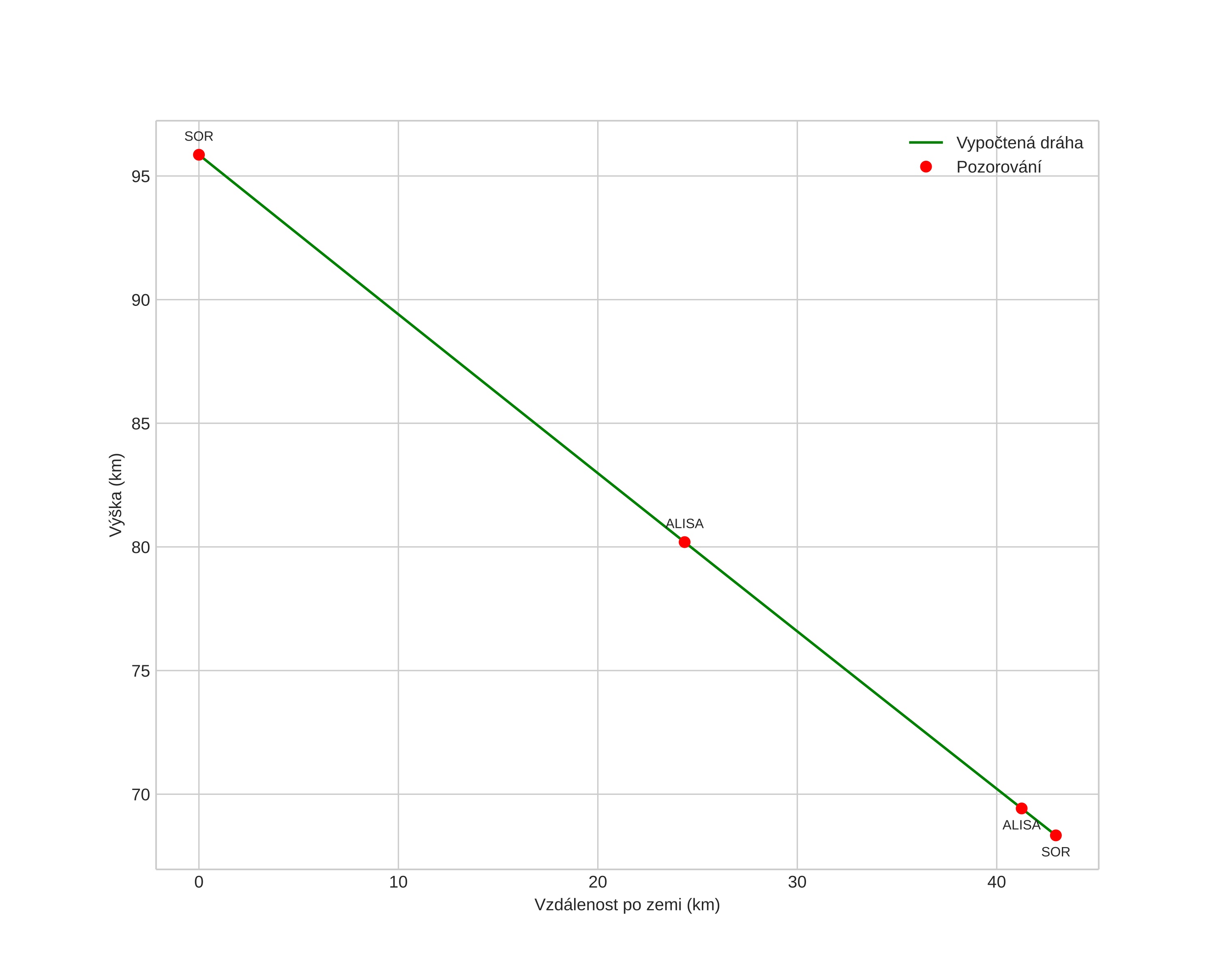
height profile
Atmosférická dráha meteoru:
Počáteční výška: 95,9 km
Konečná výška: 68,3 km
Počáteční poloha: 68,565N 19,443E
Konečná poloha: 68,488N 18,409E
Směr: 258,9°
Sklon: 32,7°
VstupnĂ­ rychlost: 36,0 km/s
Rektascenze radiantu: 07:27 (111,8°)
Deklinace radiantu: 32,9°
MeteorickĂ˝ roj: Geminidy
Elementy dráhy meteoroidu:
Vzdálenost v periheliu: 0,148 AU
Excentricita: 0,890
Sklon dráhy: 23,7°
Délka vzestupného uzlu: 260,7°
Argument perihelia: 323,5°
Střední anomálie: 336,2°
Epocha: 2017 DEC 12 18:54:16
orbit plot

NeinteraktivnĂ­ graf | InteraktivnĂ­ graf

position vs time
speed and acceleration