🇳🇴 🇬🇧 🇩🇪 🇨🇿 🇫🇮

Meteor Setermoenin yllä 2017-12-12 18:54:16 UTC

KML-tiedosto  |  Interaktiivinen kartta

Kartta näyttää meteorin suuntahavainnot. Vaaleammat viivat näyttävät suunnat havaintoasemilta meteorin ilmestyessä, ja tummemmat viivat näyttävät, missä se viimeksi nähtiin. Sininen nuoli näyttää meteorin näkyvän lennon.

static map
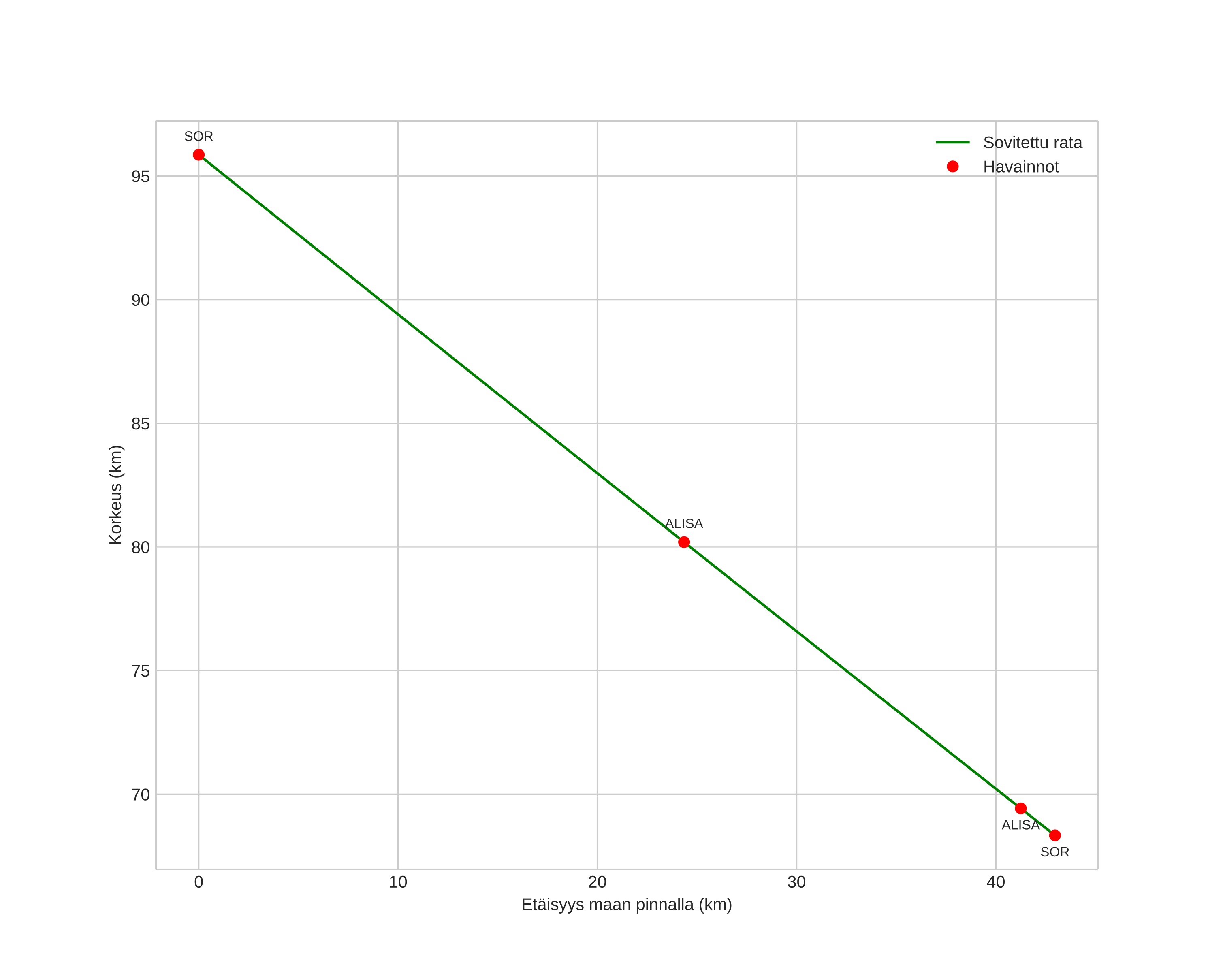
height profile
Meteorin ilmakehärata:
Alkukorkeus: 95,9 km
Loppukorkeus: 68,3 km
Alkupiste: 68,565N 19,443E
Loppupiste: 68,488N 18,409E
Suunta: 258,9°
Kallistuskulma: 32,7°
Tulonopeus: 36,0 km/s
Radiantin R,A,: 07:27 (111,8°)
Radiantin Dekl,: 32,9°
Meteoriparvi: Geminidit
Meteoroidin rataelementit:
Perihelietäisyys: 0,148 AU
Eksentrisyys: 0,890
Inklinaatio: 23,7°
Nousevan solmun pituus: 260,7°
Perihelin argumentti: 323,5°
Keskianomalia: 336,2°
Epookki: 2017 DEC 12 18:54:16
orbit plot

Ei-interaktiivinen kuvaaja | Interaktiivinen kuvaaja

position vs time
speed and acceleration