🇳🇴 🇬🇧 🇩🇪 🇨🇿 🇫🇮

Meteor, poloha: Rollag 2017-12-12 22:52:37 UTC

Soubor KML  |  InteraktivnĂ­ mapa

Mapa zobrazuje dráhy meteoru. Světlejší čáry ukazují směry od pozorovacích stanic při objevení se meteoru a tmavší čáry, kde byl naposledy viděn. Modrá šipka značí viditelnou dráhu meteoru.

static map
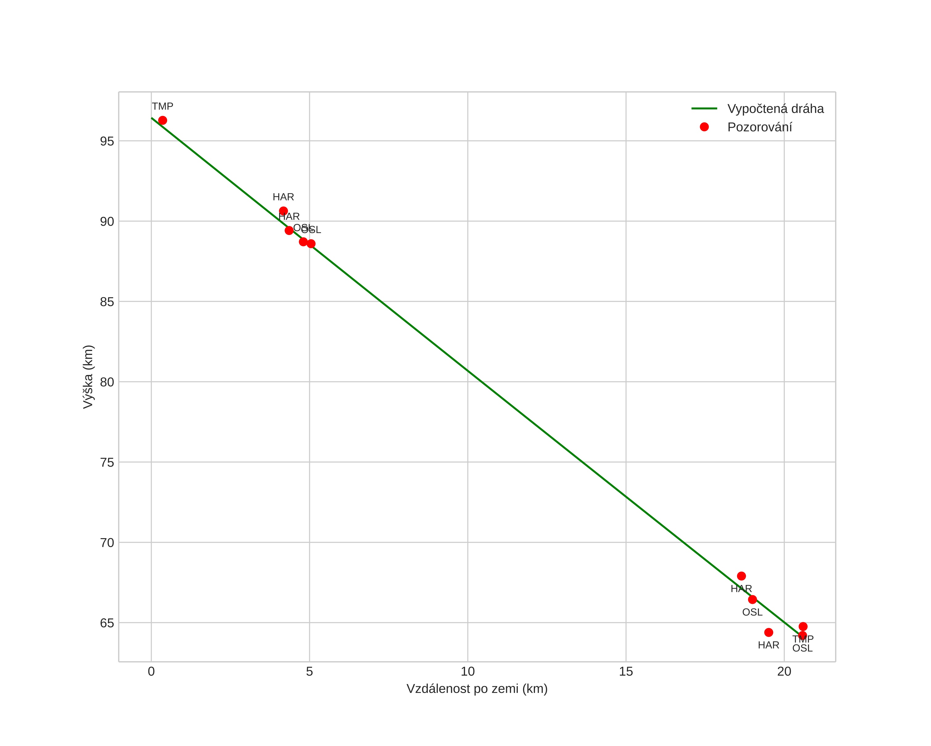
height profile
Atmosférická dráha meteoru:
Počáteční výška: 96,4 km
Konečná výška: 64,2 km
Počáteční poloha: 59,744N 9,515E
Konečná poloha: 59,846N 9,208E
Směr: 303,4°
Sklon: 57,5°
VstupnĂ­ rychlost: 39,3 km/s
Rektascenze radiantu: 07:10 (107,6°)
Deklinace radiantu: 34,8°
MeteorickĂ˝ roj: Geminidy
Elementy dráhy meteoroidu:
Vzdálenost v periheliu: 0,171 AU
Excentricita: 0,931
Sklon dráhy: 27,4°
Délka vzestupného uzlu: 260,9°
Argument perihelia: 315,6°
Střední anomálie: 351,0°
Epocha: 2017 DEC 12 22:52:37
orbit plot

NeinteraktivnĂ­ graf | InteraktivnĂ­ graf

position vs time
speed and acceleration