🇳🇴 🇬🇧 🇩🇪 🇨🇿 🇫🇮

Meteor Rollagin yllä 2017-12-12 22:52:37 UTC

KML-tiedosto  |  Interaktiivinen kartta

Kartta näyttää meteorin suuntahavainnot. Vaaleammat viivat näyttävät suunnat havaintoasemilta meteorin ilmestyessä, ja tummemmat viivat näyttävät, missä se viimeksi nähtiin. Sininen nuoli näyttää meteorin näkyvän lennon.

static map
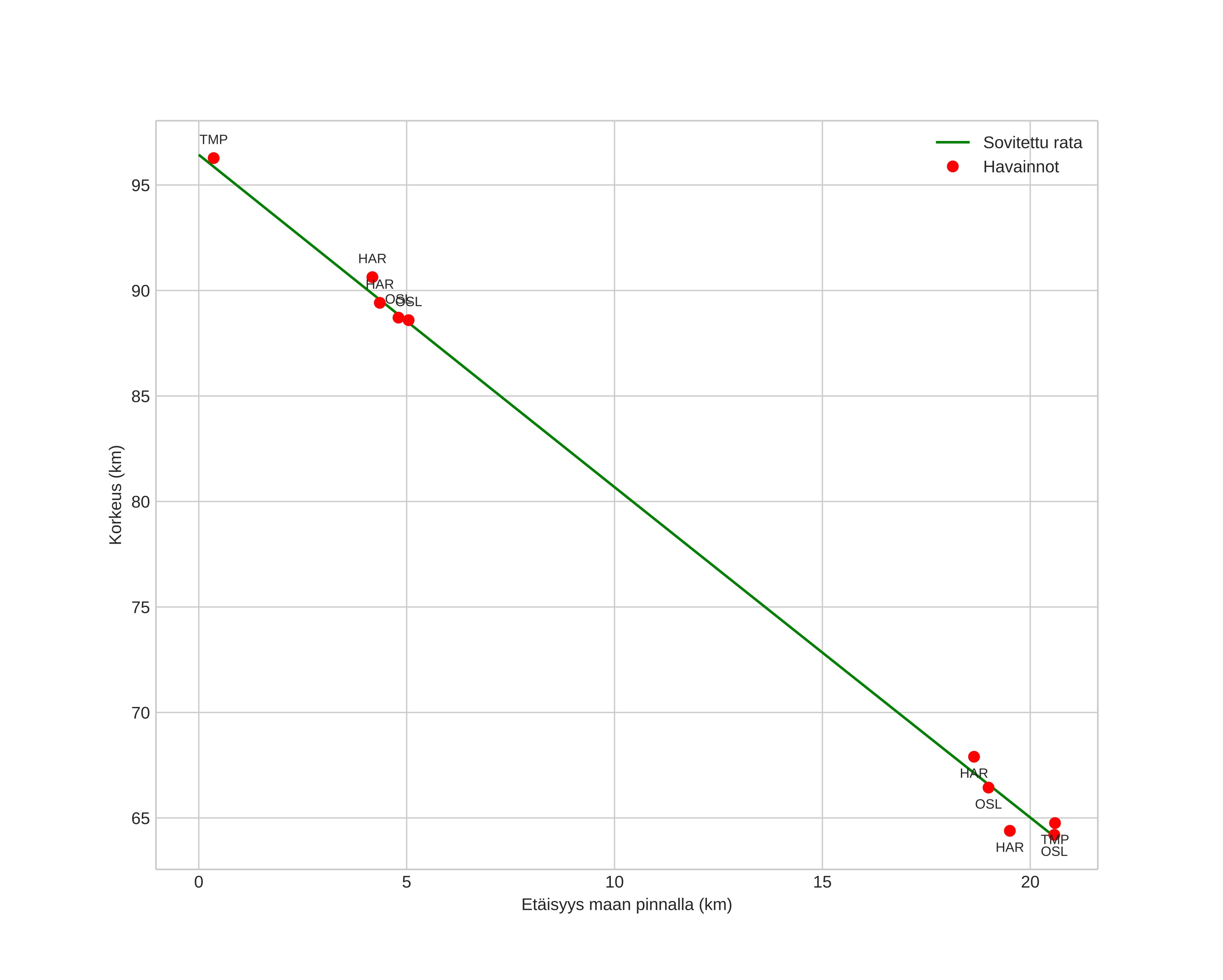
height profile
Meteorin ilmakehärata:
Alkukorkeus: 96,4 km
Loppukorkeus: 64,2 km
Alkupiste: 59,744N 9,515E
Loppupiste: 59,846N 9,208E
Suunta: 303,4°
Kallistuskulma: 57,5°
Tulonopeus: 39,3 km/s
Radiantin R,A,: 07:10 (107,6°)
Radiantin Dekl,: 34,8°
Meteoriparvi: Geminidit
Meteoroidin rataelementit:
Perihelietäisyys: 0,171 AU
Eksentrisyys: 0,931
Inklinaatio: 27,4°
Nousevan solmun pituus: 260,9°
Perihelin argumentti: 315,6°
Keskianomalia: 351,0°
Epookki: 2017 DEC 12 22:52:37
orbit plot

Ei-interaktiivinen kuvaaja | Interaktiivinen kuvaaja

position vs time
speed and acceleration