🇳🇴 🇬🇧 🇩🇪 🇨🇿 🇫🇮

Meteor, poloha: Vigrestad 2017-12-13 00:16:53 UTC

Soubor KML  |  InteraktivnĂ­ mapa

Mapa zobrazuje dráhy meteoru. Světlejší čáry ukazují směry od pozorovacích stanic při objevení se meteoru a tmavší čáry, kde byl naposledy viděn. Modrá šipka značí viditelnou dráhu meteoru.

static map
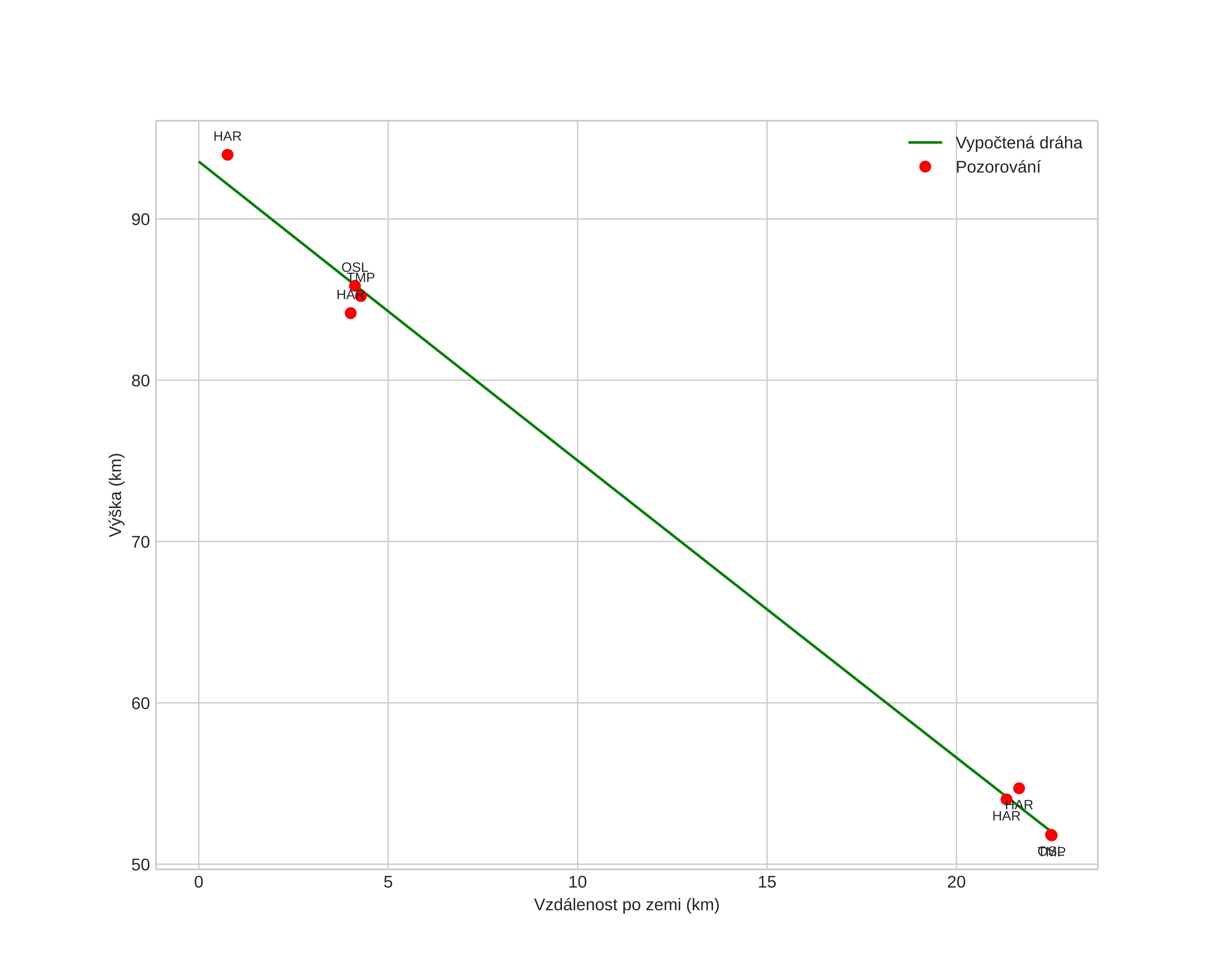
height profile
Atmosférická dráha meteoru:
Počáteční výška: 93,6 km
Konečná výška: 51,8 km
Počáteční poloha: 56,916N 5,204E
Konečná poloha: 57,075N 4,973E
Směr: 321,8°
Sklon: 61,6°
VstupnĂ­ rychlost: 37,7 km/s
Rektascenze radiantu: 07:24 (111,1°)
Deklinace radiantu: 31,6°
MeteorickĂ˝ roj: Geminidy
Elementy dráhy meteoroidu:
Vzdálenost v periheliu: 0,133 AU
Excentricita: 0,915
Sklon dráhy: 22,8°
Délka vzestupného uzlu: 260,9°
Argument perihelia: 324,2°
Střední anomálie: 341,9°
Epocha: 2017 DEC 13 00:16:53
orbit plot

NeinteraktivnĂ­ graf | InteraktivnĂ­ graf

position vs time
speed and acceleration