🇳🇴 🇬🇧 🇩🇪 🇨🇿 🇫🇮

Meteor Vigrestadin yllä 2017-12-13 00:16:53 UTC

KML-tiedosto  |  Interaktiivinen kartta

Kartta näyttää meteorin suuntahavainnot. Vaaleammat viivat näyttävät suunnat havaintoasemilta meteorin ilmestyessä, ja tummemmat viivat näyttävät, missä se viimeksi nähtiin. Sininen nuoli näyttää meteorin näkyvän lennon.

static map
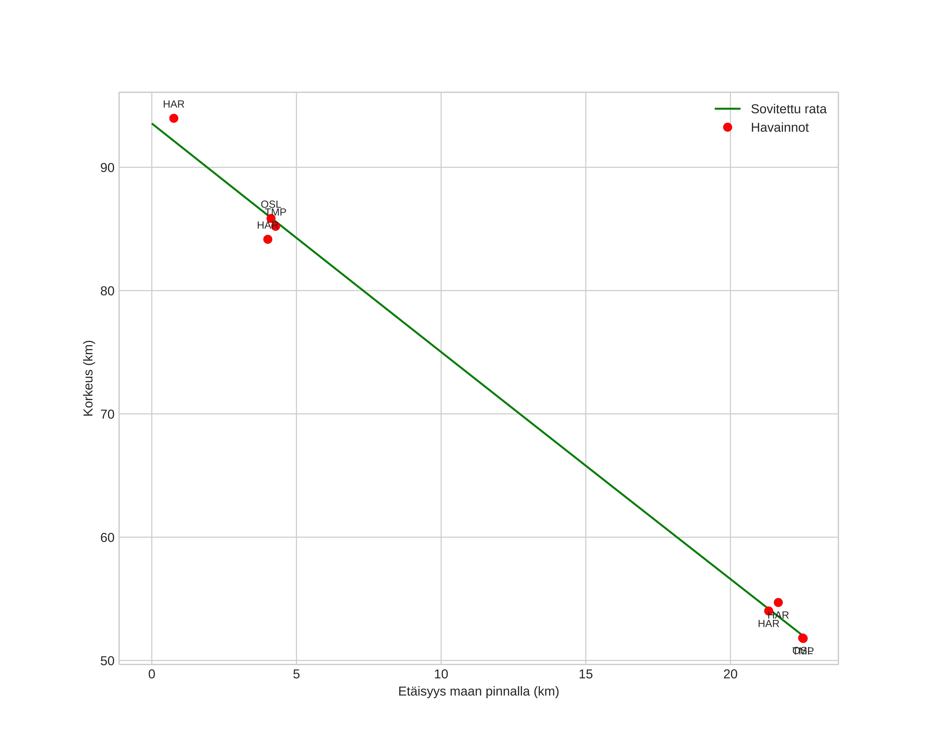
height profile
Meteorin ilmakehärata:
Alkukorkeus: 93,6 km
Loppukorkeus: 51,8 km
Alkupiste: 56,916N 5,204E
Loppupiste: 57,075N 4,973E
Suunta: 321,8°
Kallistuskulma: 61,6°
Tulonopeus: 37,7 km/s
Radiantin R,A,: 07:24 (111,1°)
Radiantin Dekl,: 31,6°
Meteoriparvi: Geminidit
Meteoroidin rataelementit:
Perihelietäisyys: 0,133 AU
Eksentrisyys: 0,915
Inklinaatio: 22,8°
Nousevan solmun pituus: 260,9°
Perihelin argumentti: 324,2°
Keskianomalia: 341,9°
Epookki: 2017 DEC 13 00:16:53
orbit plot

Ei-interaktiivinen kuvaaja | Interaktiivinen kuvaaja

position vs time
speed and acceleration