🇳🇴 🇬🇧 🇩🇪 🇨🇿 🇫🇮

Meteor, poloha: Skåre 2017-12-13 02:17:01 UTC

Soubor KML  |  Interaktivní mapa

Mapa zobrazuje dráhy meteoru. Světlejší čáry ukazují směry od pozorovacích stanic při objevení se meteoru a tmavší čáry, kde byl naposledy viděn. Modrá šipka značí viditelnou dráhu meteoru.

static map
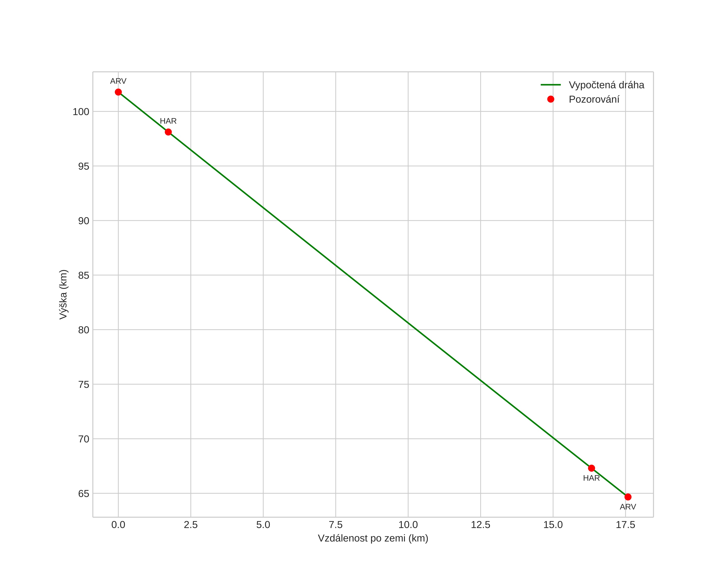
height profile
Atmosférická dráha meteoru:
Počáteční výška: 101,8 km
Konečná výška: 64,7 km
Počáteční poloha: 59,310N 13,358E
Konečná poloha: 59,460N 13,455E
Směr: 18,1°
Sklon: 64,6°
Vstupní rychlost: 37,0 km/s
Rektascenze radiantu: 07:57 (119,3°)
Deklinace radiantu: 34,0°
Meteorický roj: Geminidy
Elementy dráhy meteoroidu:
Vzdálenost v periheliu: 0,108 AU
Excentricita: 0,904
Sklon dráhy: 35,4°
Délka vzestupného uzlu: 261,0°
Argument perihelia: 330,9°
Střední anomálie: 329,5°
Epocha: 2017 DEC 13 02:17:01
orbit plot

Neinteraktivní graf | Interaktivní graf

position vs time
speed and acceleration