🇳🇴 🇬🇧 🇩🇪 🇨🇿 🇫🇮

Meteor Skåren yllä 2017-12-13 02:17:01 UTC

KML-tiedosto  |  Interaktiivinen kartta

Kartta näyttää meteorin suuntahavainnot. Vaaleammat viivat näyttävät suunnat havaintoasemilta meteorin ilmestyessä, ja tummemmat viivat näyttävät, missä se viimeksi nähtiin. Sininen nuoli näyttää meteorin näkyvän lennon.

static map
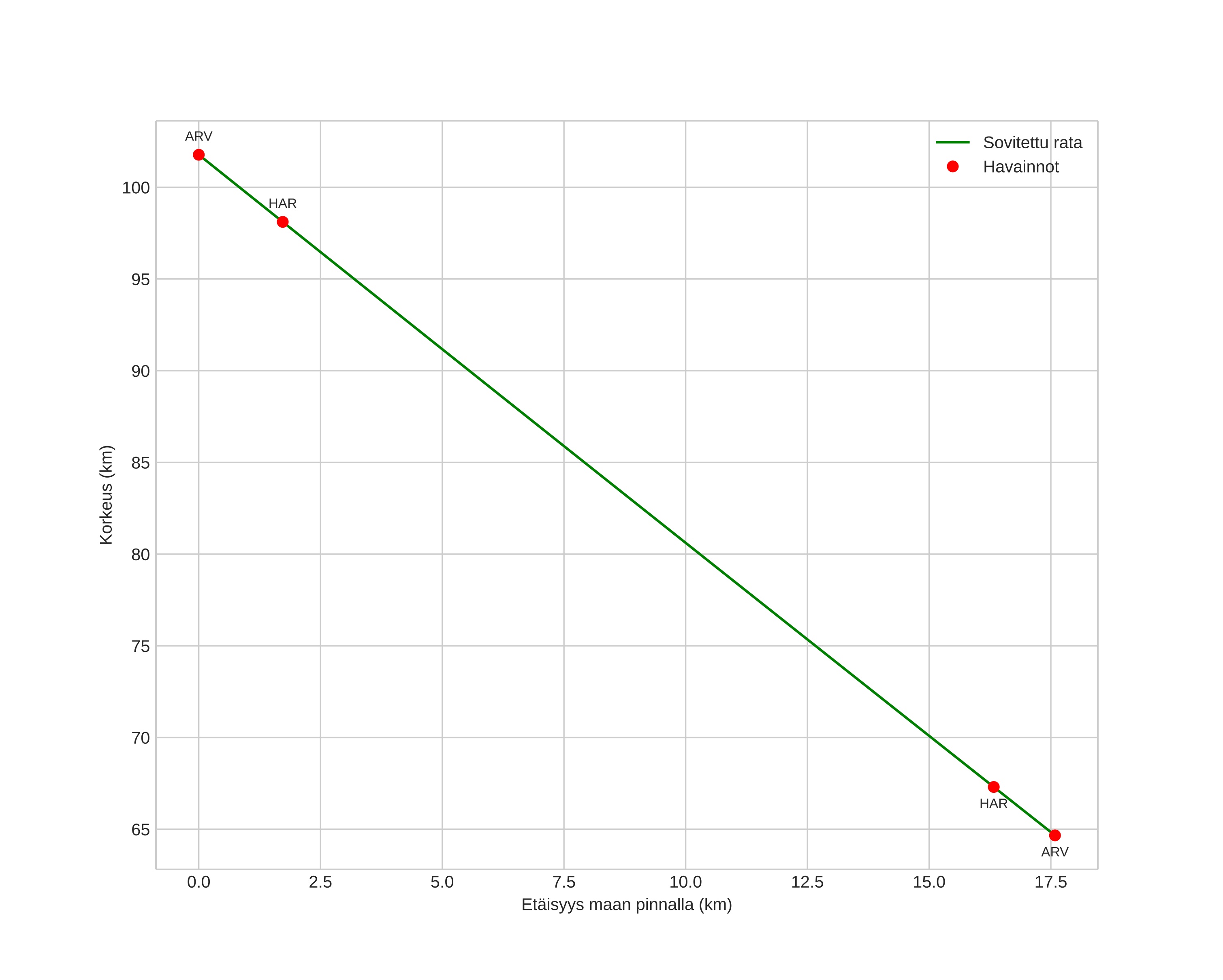
height profile
Meteorin ilmakehärata:
Alkukorkeus: 101,8 km
Loppukorkeus: 64,7 km
Alkupiste: 59,310N 13,358E
Loppupiste: 59,460N 13,455E
Suunta: 18,1°
Kallistuskulma: 64,6°
Tulonopeus: 37,0 km/s
Radiantin R,A,: 07:57 (119,3°)
Radiantin Dekl,: 34,0°
Meteoriparvi: Geminidit
Meteoroidin rataelementit:
Perihelietäisyys: 0,108 AU
Eksentrisyys: 0,904
Inklinaatio: 35,4°
Nousevan solmun pituus: 261,0°
Perihelin argumentti: 330,9°
Keskianomalia: 329,5°
Epookki: 2017 DEC 13 02:17:01
orbit plot

Ei-interaktiivinen kuvaaja | Interaktiivinen kuvaaja

position vs time
speed and acceleration