🇳🇴 🇬🇧 🇩🇪 🇨🇿 🇫🇮

Meteor, poloha: Setermoen 2017-12-14 02:52:35 UTC

Soubor KML  |  InteraktivnĂ­ mapa

Mapa zobrazuje dráhy meteoru. Světlejší čáry ukazují směry od pozorovacích stanic při objevení se meteoru a tmavší čáry, kde byl naposledy viděn. Modrá šipka značí viditelnou dráhu meteoru.

static map
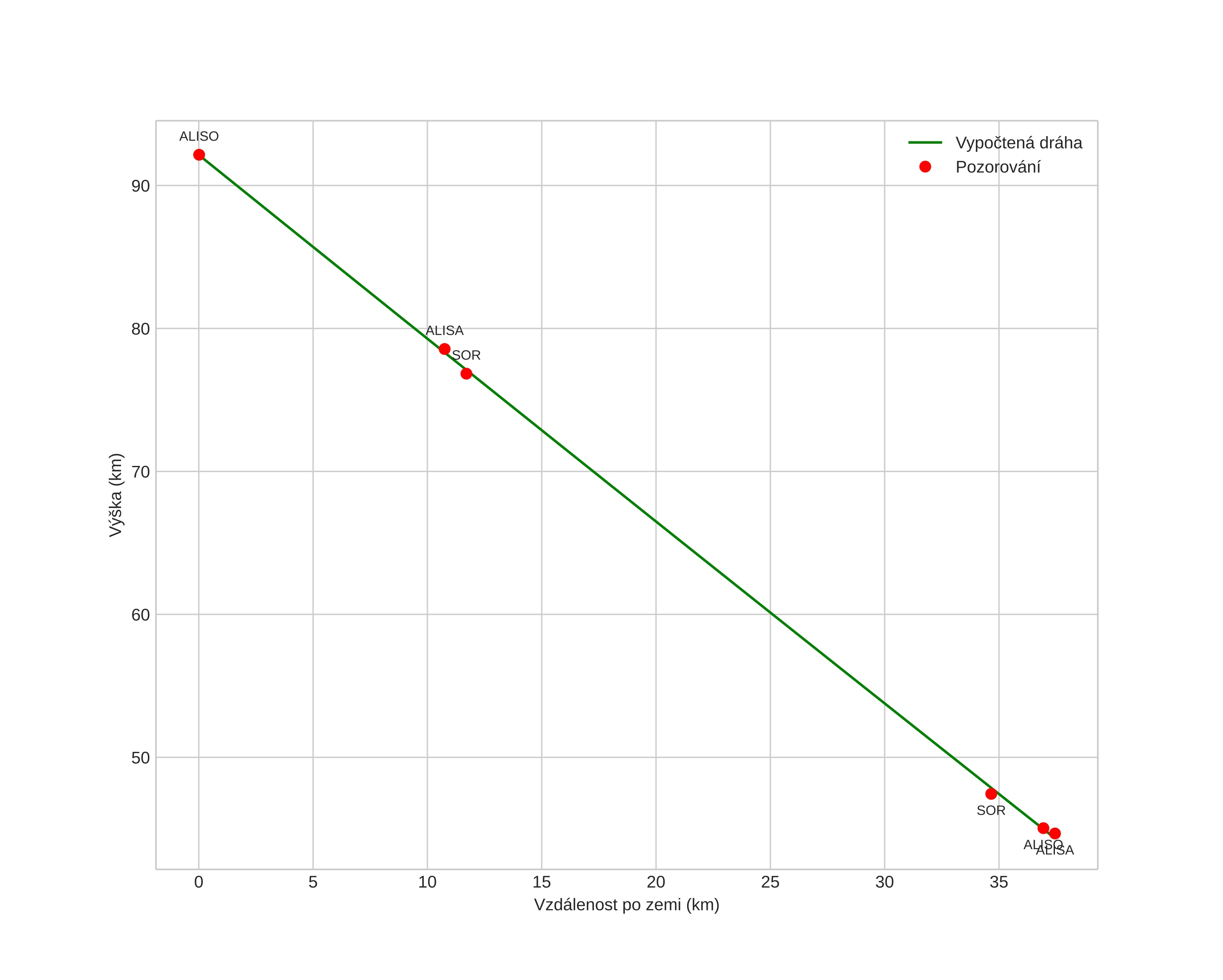
height profile
Atmosférická dráha meteoru:
Počáteční výška: 92,1 km
Konečná výška: 44,5 km
Počáteční poloha: 67,513N 17,748E
Konečná poloha: 67,758N 18,349E
Směr: 42,7°
Sklon: 51,9°
VstupnĂ­ rychlost: 35,5 km/s
Rektascenze radiantu: 07:31 (112,8°)
Deklinace radiantu: 32,5°
MeteorickĂ˝ roj: Geminidy
Elementy dráhy meteoroidu:
Vzdálenost v periheliu: 0,153 AU
Excentricita: 0,886
Sklon dráhy: 22,5°
Délka vzestupného uzlu: 262,0°
Argument perihelia: 322,9°
Střední anomálie: 336,1°
Epocha: 2017 DEC 14 02:52:35
orbit plot

NeinteraktivnĂ­ graf | InteraktivnĂ­ graf

position vs time
speed and acceleration