🇳🇴 🇬🇧 🇩🇪 🇨🇿 🇫🇮

Meteor Setermoenin yllä 2017-12-14 02:52:35 UTC

KML-tiedosto  |  Interaktiivinen kartta

Kartta näyttää meteorin suuntahavainnot. Vaaleammat viivat näyttävät suunnat havaintoasemilta meteorin ilmestyessä, ja tummemmat viivat näyttävät, missä se viimeksi nähtiin. Sininen nuoli näyttää meteorin näkyvän lennon.

static map
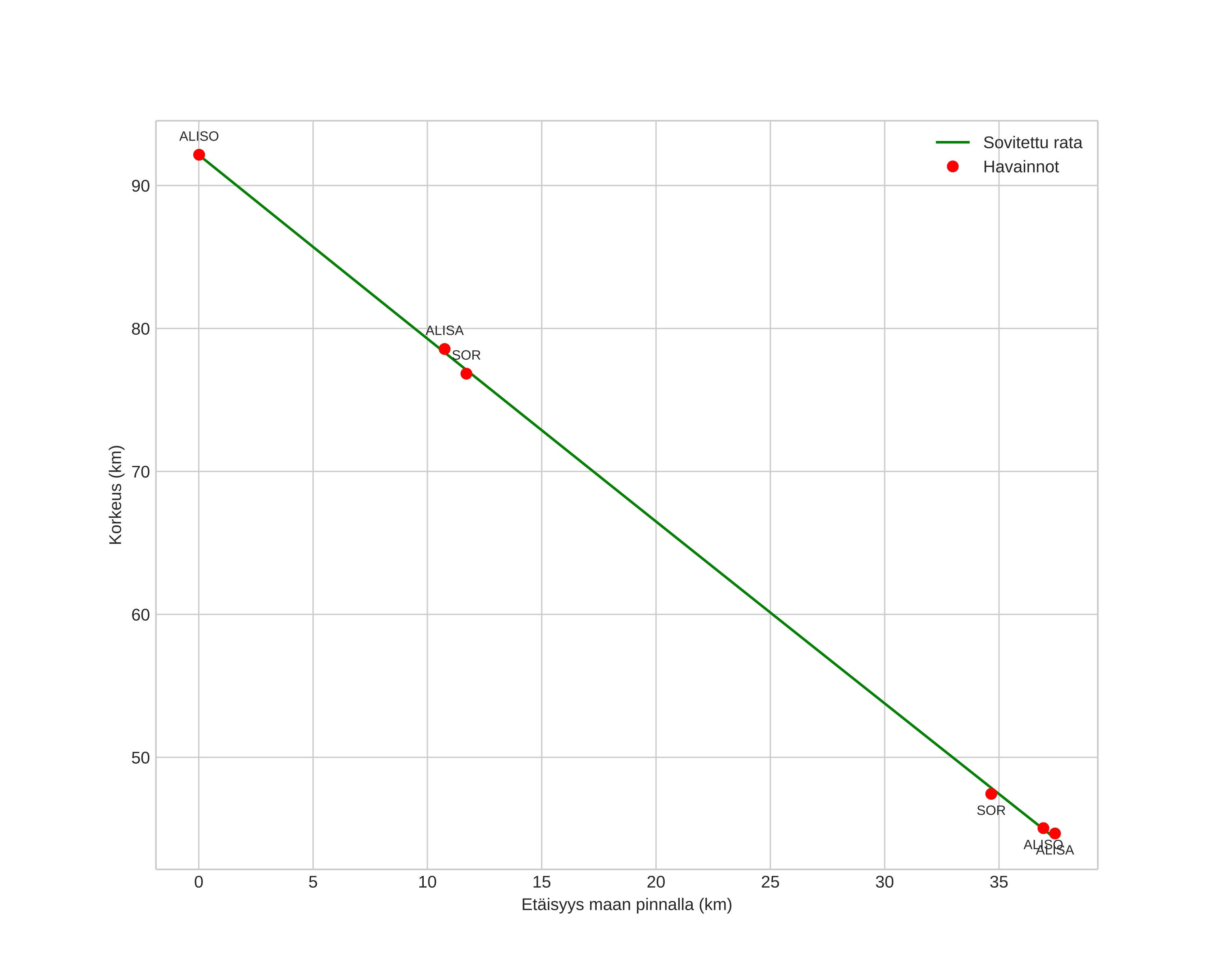
height profile
Meteorin ilmakehärata:
Alkukorkeus: 92,1 km
Loppukorkeus: 44,5 km
Alkupiste: 67,513N 17,748E
Loppupiste: 67,758N 18,349E
Suunta: 42,7°
Kallistuskulma: 51,9°
Tulonopeus: 35,5 km/s
Radiantin R,A,: 07:31 (112,8°)
Radiantin Dekl,: 32,5°
Meteoriparvi: Geminidit
Meteoroidin rataelementit:
Perihelietäisyys: 0,153 AU
Eksentrisyys: 0,886
Inklinaatio: 22,5°
Nousevan solmun pituus: 262,0°
Perihelin argumentti: 322,9°
Keskianomalia: 336,1°
Epookki: 2017 DEC 14 02:52:35
orbit plot

Ei-interaktiivinen kuvaaja | Interaktiivinen kuvaaja

position vs time
speed and acceleration