🇳🇴 🇬🇧 🇩🇪 🇨🇿 🇫🇮

Meteor, poloha: Narvik 2017-12-14 03:12:39 UTC

Soubor KML  |  InteraktivnĂ­ mapa

Mapa zobrazuje dráhy meteoru. Světlejší čáry ukazují směry od pozorovacích stanic při objevení se meteoru a tmavší čáry, kde byl naposledy viděn. Modrá šipka značí viditelnou dráhu meteoru.

static map
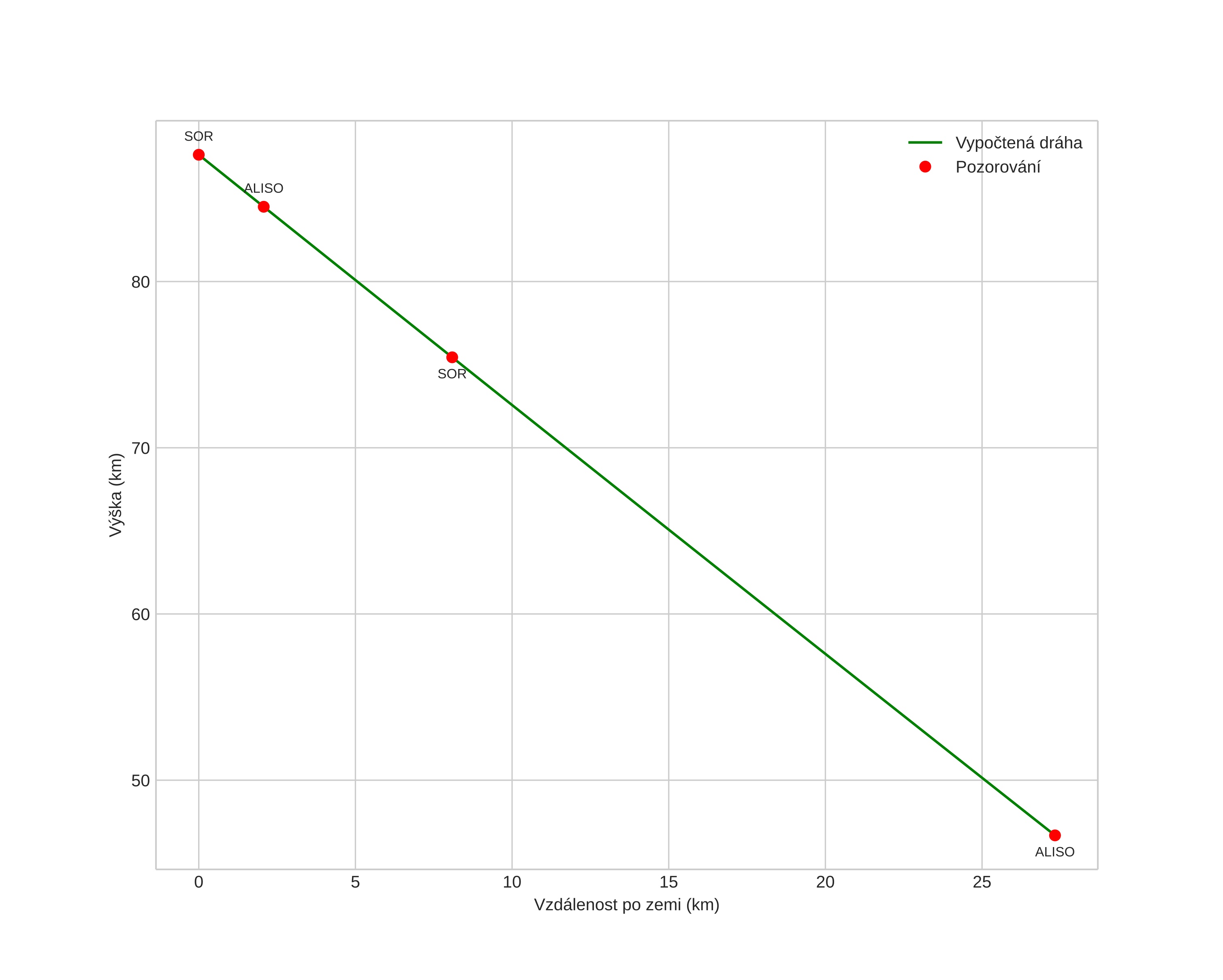
height profile
Atmosférická dráha meteoru:
Počáteční výška: 87,6 km
Konečná výška: 46,7 km
Počáteční poloha: 67,781N 17,133E
Konečná poloha: 67,870N 17,739E
Směr: 68,4°
Sklon: 56,3°
VstupnĂ­ rychlost: 28,3 km/s
Rektascenze radiantu: 06:43 (101,0°)
Deklinace radiantu: 42,3°
MeteorickĂ˝ roj: sporadickĂ˝
Elementy dráhy meteoroidu:
Vzdálenost v periheliu: 0,388 AU
Excentricita: 0,729
Sklon dráhy: 20,3°
Délka vzestupného uzlu: 262,1°
Argument perihelia: 295,9°
Střední anomálie: 333,2°
Epocha: 2017 DEC 14 03:12:39
orbit plot

NeinteraktivnĂ­ graf | InteraktivnĂ­ graf

position vs time
speed and acceleration