🇳🇴 🇬🇧 🇩🇪 🇨🇿 🇫🇮

Meteor Narvikin yllä 2017-12-14 03:12:39 UTC

KML-tiedosto  |  Interaktiivinen kartta

Kartta näyttää meteorin suuntahavainnot. Vaaleammat viivat näyttävät suunnat havaintoasemilta meteorin ilmestyessä, ja tummemmat viivat näyttävät, missä se viimeksi nähtiin. Sininen nuoli näyttää meteorin näkyvän lennon.

static map
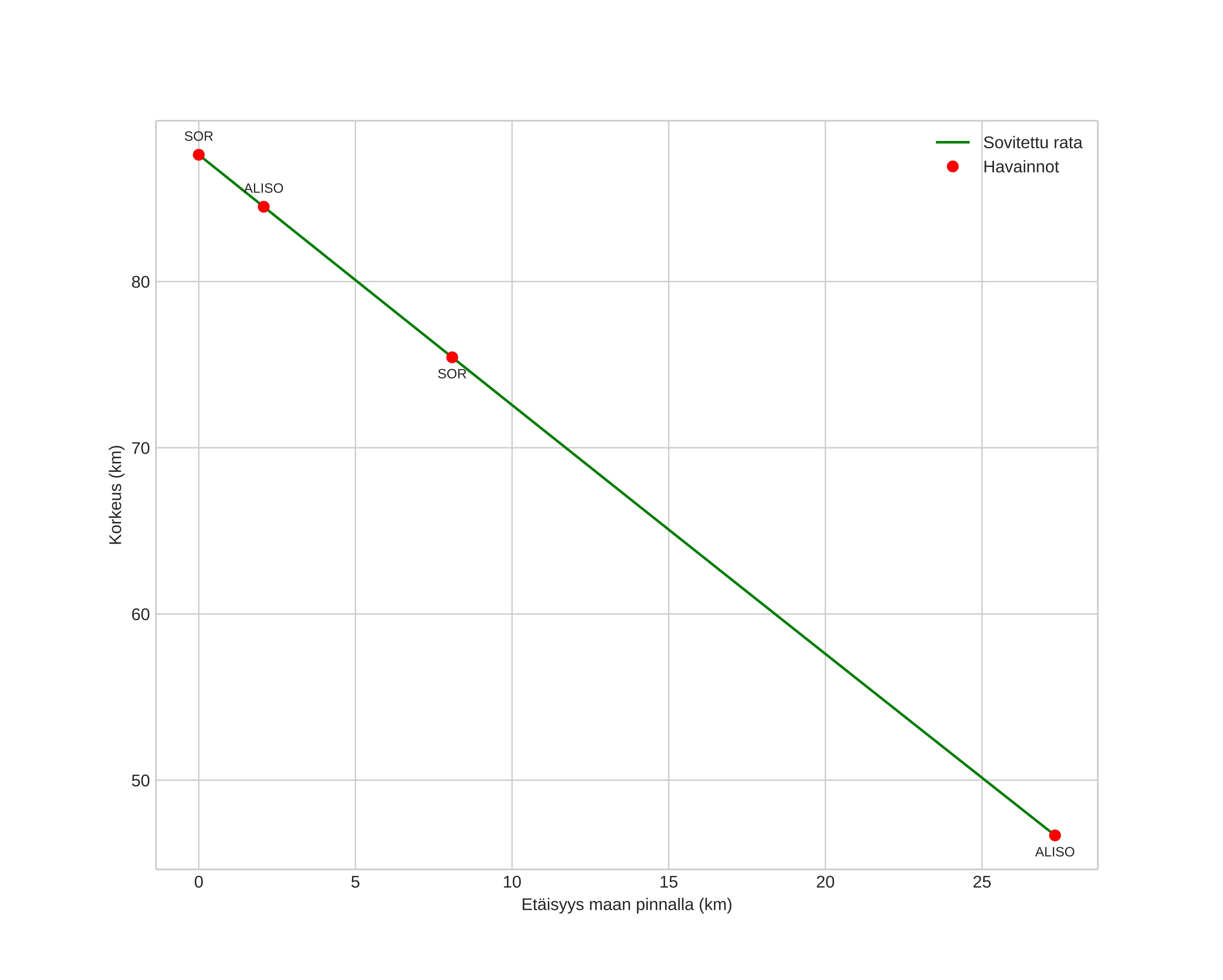
height profile
Meteorin ilmakehärata:
Alkukorkeus: 87,6 km
Loppukorkeus: 46,7 km
Alkupiste: 67,781N 17,133E
Loppupiste: 67,870N 17,739E
Suunta: 68,4°
Kallistuskulma: 56,3°
Tulonopeus: 28,3 km/s
Radiantin R,A,: 06:43 (101,0°)
Radiantin Dekl,: 42,3°
Meteoriparvi: Sporadinen
Meteoroidin rataelementit:
Perihelietäisyys: 0,388 AU
Eksentrisyys: 0,729
Inklinaatio: 20,3°
Nousevan solmun pituus: 262,1°
Perihelin argumentti: 295,9°
Keskianomalia: 333,2°
Epookki: 2017 DEC 14 03:12:39
orbit plot

Ei-interaktiivinen kuvaaja | Interaktiivinen kuvaaja

position vs time
speed and acceleration