🇳🇴 🇬🇧 🇩🇪 🇨🇿 🇫🇮

Meteor, poloha: Gratangen 2017-12-14 03:42:54 UTC

Soubor KML  |  InteraktivnĂ­ mapa

Mapa zobrazuje dráhy meteoru. Světlejší čáry ukazují směry od pozorovacích stanic při objevení se meteoru a tmavší čáry, kde byl naposledy viděn. Modrá šipka značí viditelnou dráhu meteoru.

static map
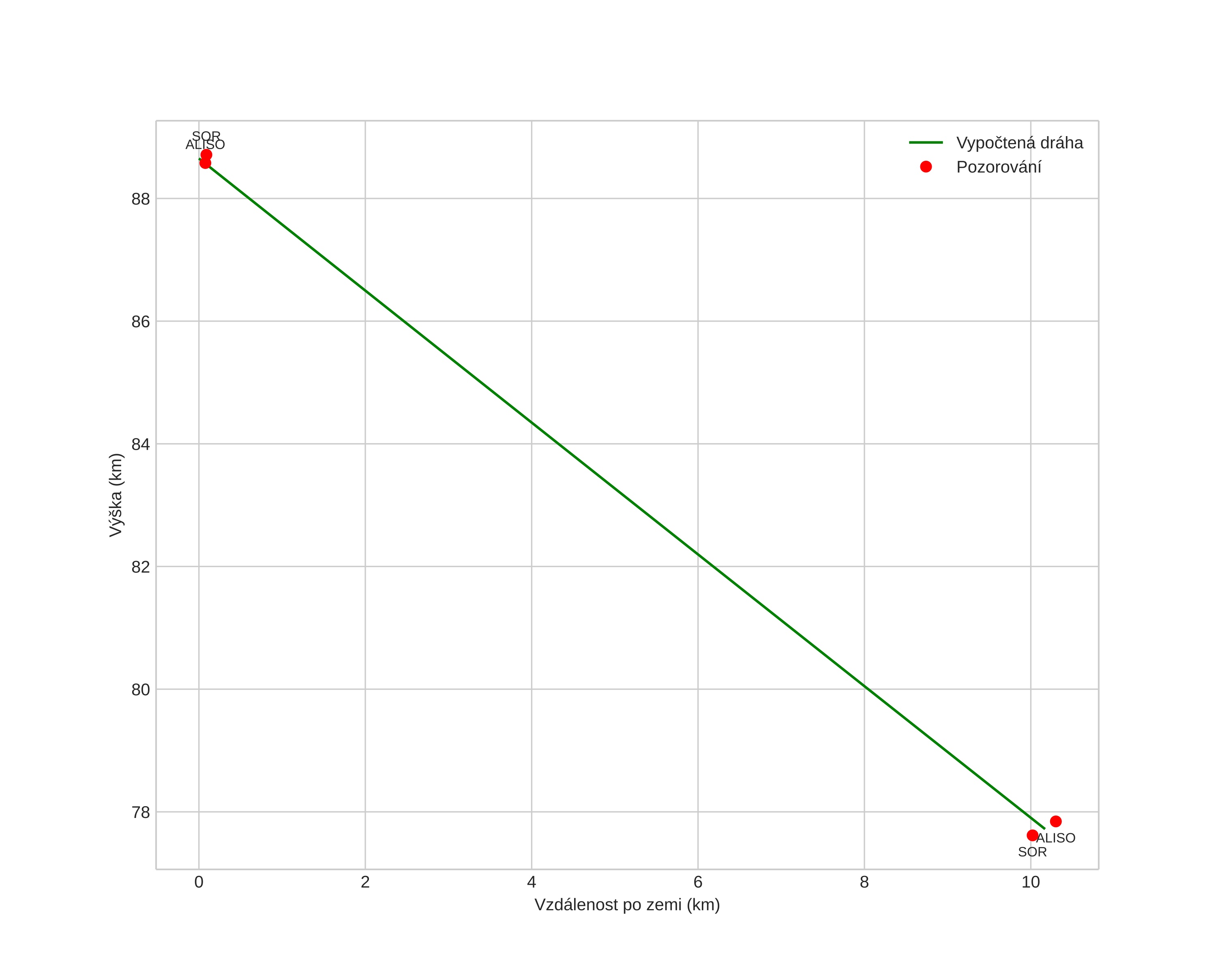
height profile
Atmosférická dráha meteoru:
Počáteční výška: 88,7 km
Konečná výška: 77,7 km
Počáteční poloha: 67,931N 17,979E
Konečná poloha: 67,976N 18,190E
Směr: 59,8°
Sklon: 47,2°
VstupnĂ­ rychlost: 36,3 km/s
Rektascenze radiantu: 07:23 (111,0°)
Deklinace radiantu: 32,3°
MeteorickĂ˝ roj: Geminidy
Elementy dráhy meteoroidu:
Vzdálenost v periheliu: 0,158 AU
Excentricita: 0,898
Sklon dráhy: 21,8°
Délka vzestupného uzlu: 262,1°
Argument perihelia: 320,7°
Střední anomálie: 341,0°
Epocha: 2017 DEC 14 03:42:54
orbit plot

NeinteraktivnĂ­ graf | InteraktivnĂ­ graf

position vs time
speed and acceleration