🇳🇴 🇬🇧 🇩🇪 🇨🇿 🇫🇮

Meteor Gratangenin yllä 2017-12-14 03:42:54 UTC

KML-tiedosto  |  Interaktiivinen kartta

Kartta näyttää meteorin suuntahavainnot. Vaaleammat viivat näyttävät suunnat havaintoasemilta meteorin ilmestyessä, ja tummemmat viivat näyttävät, missä se viimeksi nähtiin. Sininen nuoli näyttää meteorin näkyvän lennon.

static map
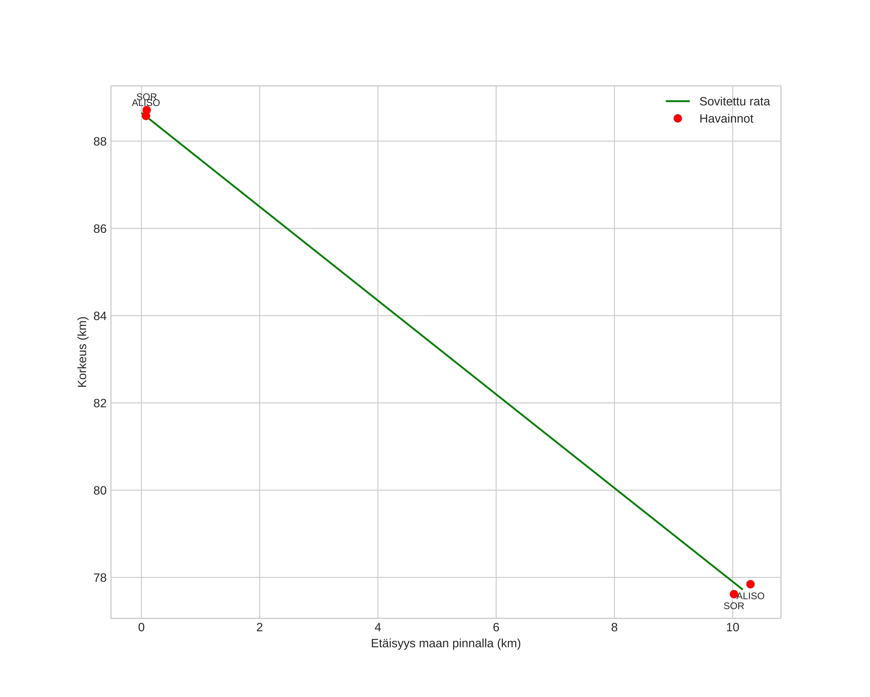
height profile
Meteorin ilmakehärata:
Alkukorkeus: 88,7 km
Loppukorkeus: 77,7 km
Alkupiste: 67,931N 17,979E
Loppupiste: 67,976N 18,190E
Suunta: 59,8°
Kallistuskulma: 47,2°
Tulonopeus: 36,3 km/s
Radiantin R,A,: 07:23 (111,0°)
Radiantin Dekl,: 32,3°
Meteoriparvi: Geminidit
Meteoroidin rataelementit:
Perihelietäisyys: 0,158 AU
Eksentrisyys: 0,898
Inklinaatio: 21,8°
Nousevan solmun pituus: 262,1°
Perihelin argumentti: 320,7°
Keskianomalia: 341,0°
Epookki: 2017 DEC 14 03:42:54
orbit plot

Ei-interaktiivinen kuvaaja | Interaktiivinen kuvaaja

position vs time
speed and acceleration