🇳🇴 🇬🇧 🇩🇪 🇨🇿 🇫🇮

Meteor, poloha: Bjerkvik 2017-12-14 05:54:20 UTC

Soubor KML  |  InteraktivnĂ­ mapa

Mapa zobrazuje dráhy meteoru. Světlejší čáry ukazují směry od pozorovacích stanic při objevení se meteoru a tmavší čáry, kde byl naposledy viděn. Modrá šipka značí viditelnou dráhu meteoru.

static map
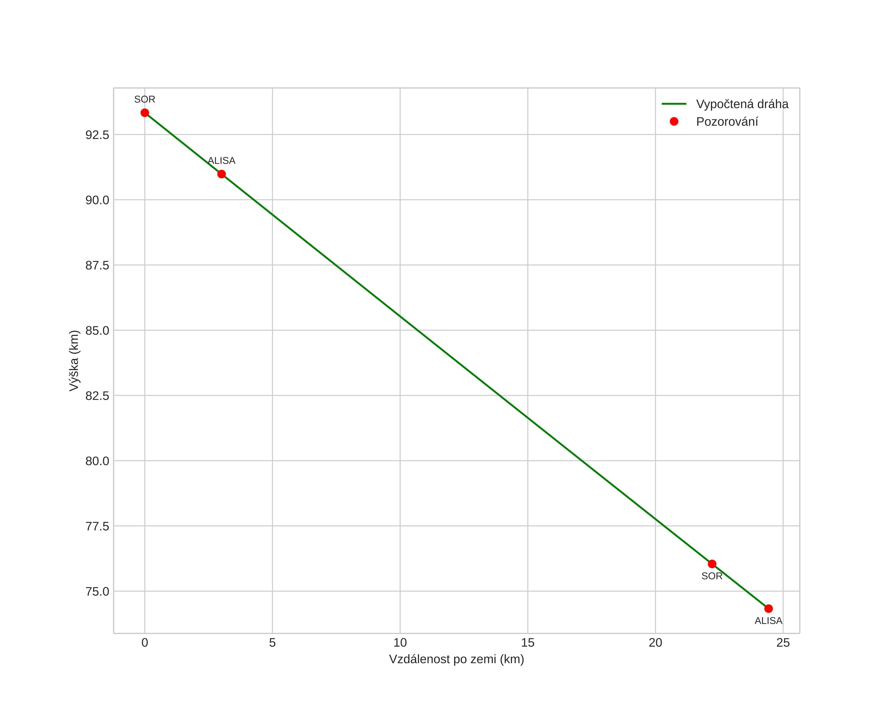
height profile
Atmosférická dráha meteoru:
Počáteční výška: 93,3 km
Konečná výška: 74,3 km
Počáteční poloha: 68,253N 17,208E
Konečná poloha: 68,260N 17,800E
Směr: 87,8°
Sklon: 37,9°
VstupnĂ­ rychlost: 36,8 km/s
Rektascenze radiantu: 07:43 (115,8°)
Deklinace radiantu: 32,7°
MeteorickĂ˝ roj: Geminidy
Elementy dráhy meteoroidu:
Vzdálenost v periheliu: 0,126 AU
Excentricita: 0,905
Sklon dráhy: 27,4°
Délka vzestupného uzlu: 262,2°
Argument perihelia: 326,8°
Střední anomálie: 336,0°
Epocha: 2017 DEC 14 05:54:20
orbit plot

NeinteraktivnĂ­ graf | InteraktivnĂ­ graf

position vs time
speed and acceleration