🇳🇴 🇬🇧 🇩🇪 🇨🇿 🇫🇮

Meteor Bjerkvikin yllä 2017-12-14 05:54:20 UTC

KML-tiedosto  |  Interaktiivinen kartta

Kartta näyttää meteorin suuntahavainnot. Vaaleammat viivat näyttävät suunnat havaintoasemilta meteorin ilmestyessä, ja tummemmat viivat näyttävät, missä se viimeksi nähtiin. Sininen nuoli näyttää meteorin näkyvän lennon.

static map
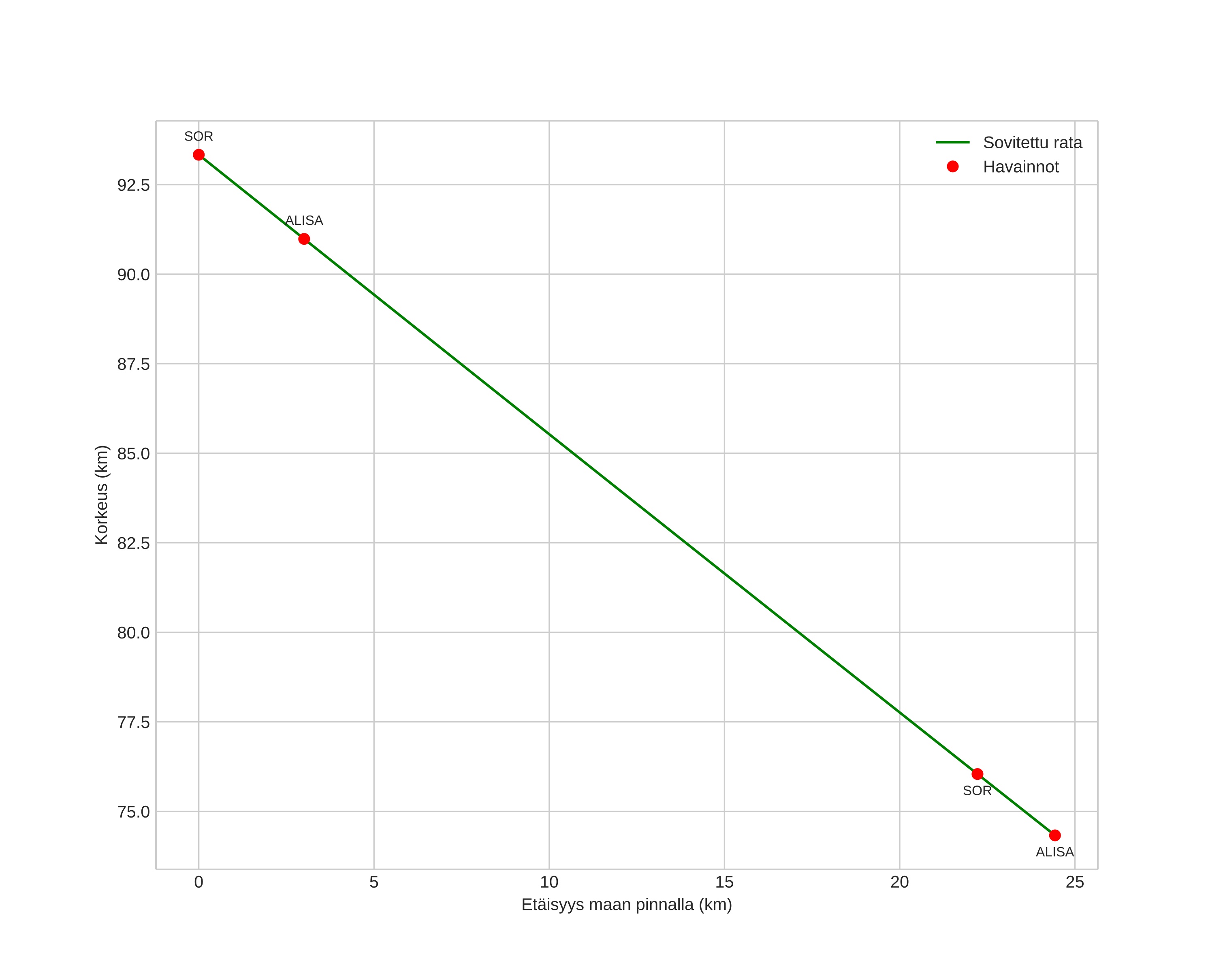
height profile
Meteorin ilmakehärata:
Alkukorkeus: 93,3 km
Loppukorkeus: 74,3 km
Alkupiste: 68,253N 17,208E
Loppupiste: 68,260N 17,800E
Suunta: 87,8°
Kallistuskulma: 37,9°
Tulonopeus: 36,8 km/s
Radiantin R,A,: 07:43 (115,8°)
Radiantin Dekl,: 32,7°
Meteoriparvi: Geminidit
Meteoroidin rataelementit:
Perihelietäisyys: 0,126 AU
Eksentrisyys: 0,905
Inklinaatio: 27,4°
Nousevan solmun pituus: 262,2°
Perihelin argumentti: 326,8°
Keskianomalia: 336,0°
Epookki: 2017 DEC 14 05:54:20
orbit plot

Ei-interaktiivinen kuvaaja | Interaktiivinen kuvaaja

position vs time
speed and acceleration