🇳🇴 🇬🇧 🇩🇪 🇨🇿 🇫🇮

Meteor, poloha: KabelvĂĄg 2017-12-14 19:43:49 UTC

Soubor KML  |  InteraktivnĂ­ mapa

Mapa zobrazuje dráhy meteoru. Světlejší čáry ukazují směry od pozorovacích stanic při objevení se meteoru a tmavší čáry, kde byl naposledy viděn. Modrá šipka značí viditelnou dráhu meteoru.

static map
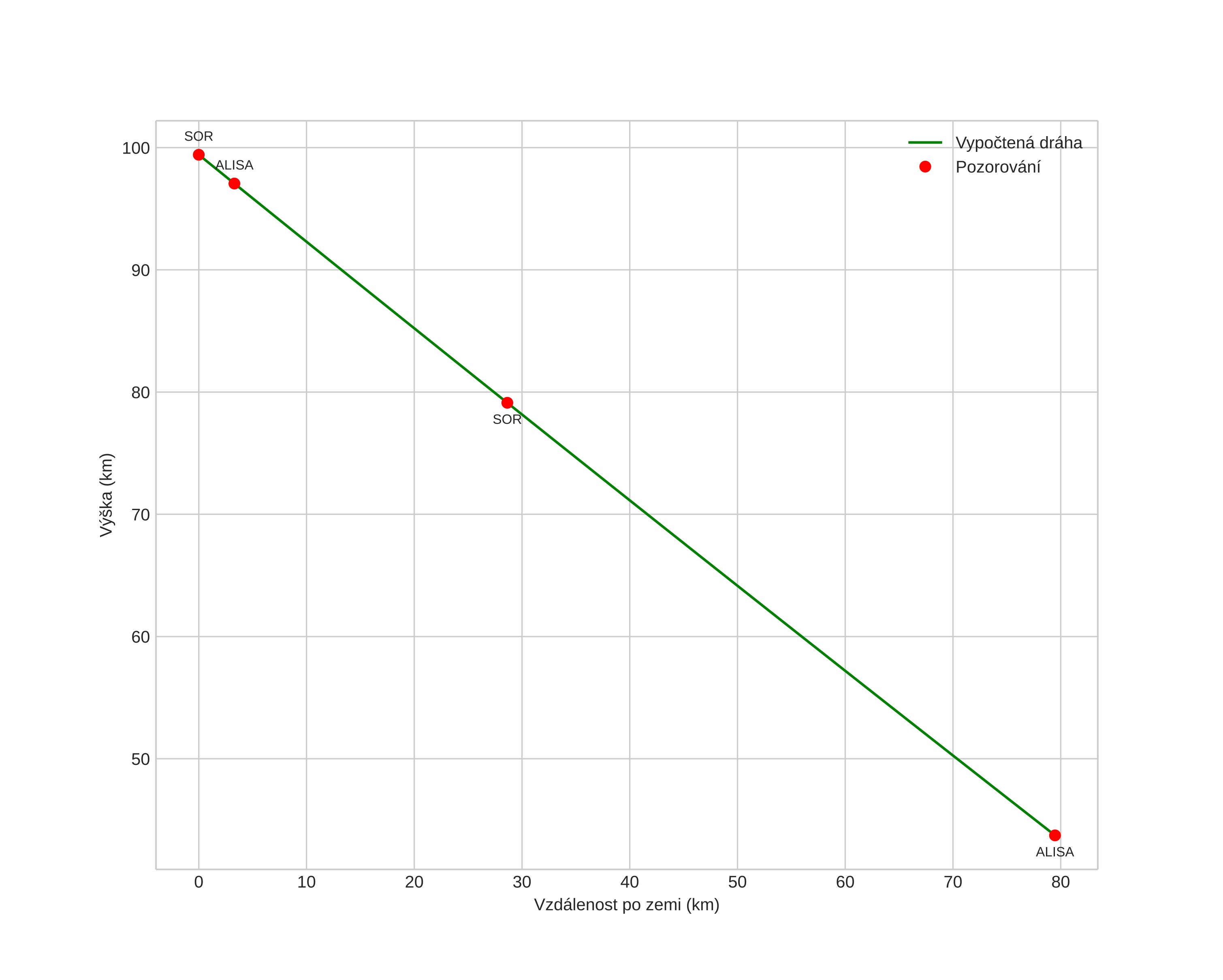
height profile
Atmosférická dráha meteoru:
Počáteční výška: 99,4 km
Konečná výška: 43,7 km
Počáteční poloha: 67,904N 16,139E
Konečná poloha: 67,846N 14,248E
Směr: 266,2°
Sklon: 35,0°
VstupnĂ­ rychlost: 37,4 km/s
Rektascenze radiantu: 07:38 (114,6°)
Deklinace radiantu: 32,4°
MeteorickĂ˝ roj: Geminidy
Elementy dráhy meteoroidu:
Vzdálenost v periheliu: 0,134 AU
Excentricita: 0,908
Sklon dráhy: 25,8°
Délka vzestupného uzlu: 262,8°
Argument perihelia: 324,6°
Střední anomálie: 339,5°
Epocha: 2017 DEC 14 19:43:49
orbit plot

NeinteraktivnĂ­ graf | InteraktivnĂ­ graf

position vs time
speed and acceleration