🇳🇴 🇬🇧 🇩🇪 🇨🇿 🇫🇮

Meteor Kabelvågin yllä 2017-12-14 19:43:49 UTC

KML-tiedosto  |  Interaktiivinen kartta

Kartta näyttää meteorin suuntahavainnot. Vaaleammat viivat näyttävät suunnat havaintoasemilta meteorin ilmestyessä, ja tummemmat viivat näyttävät, missä se viimeksi nähtiin. Sininen nuoli näyttää meteorin näkyvän lennon.

static map
height profile
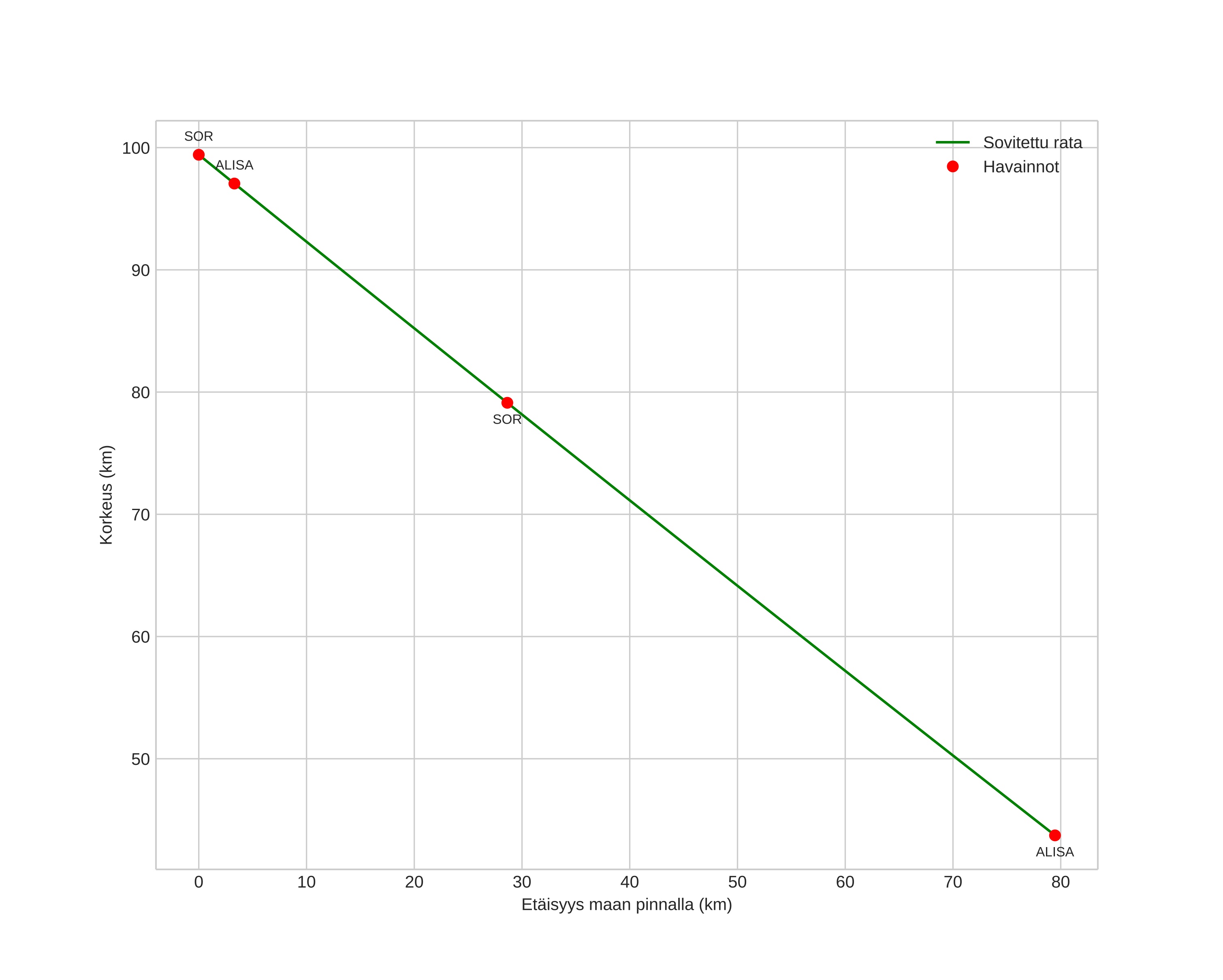
Meteorin ilmakehärata:
Alkukorkeus: 99,4 km
Loppukorkeus: 43,7 km
Alkupiste: 67,904N 16,139E
Loppupiste: 67,846N 14,248E
Suunta: 266,2°
Kallistuskulma: 35,0°
Tulonopeus: 37,4 km/s
Radiantin R,A,: 07:38 (114,6°)
Radiantin Dekl,: 32,4°
Meteoriparvi: Geminidit
Meteoroidin rataelementit:
Perihelietäisyys: 0,134 AU
Eksentrisyys: 0,908
Inklinaatio: 25,8°
Nousevan solmun pituus: 262,8°
Perihelin argumentti: 324,6°
Keskianomalia: 339,5°
Epookki: 2017 DEC 14 19:43:49
orbit plot

Ei-interaktiivinen kuvaaja | Interaktiivinen kuvaaja

position vs time
speed and acceleration