🇳🇴 🇬🇧 🇩🇪 🇨🇿 🇫🇮

Meteor, poloha: Setermoen 2017-12-14 22:10:42 UTC

Soubor KML  |  InteraktivnĂ­ mapa

Mapa zobrazuje dráhy meteoru. Světlejší čáry ukazují směry od pozorovacích stanic při objevení se meteoru a tmavší čáry, kde byl naposledy viděn. Modrá šipka značí viditelnou dráhu meteoru.

static map
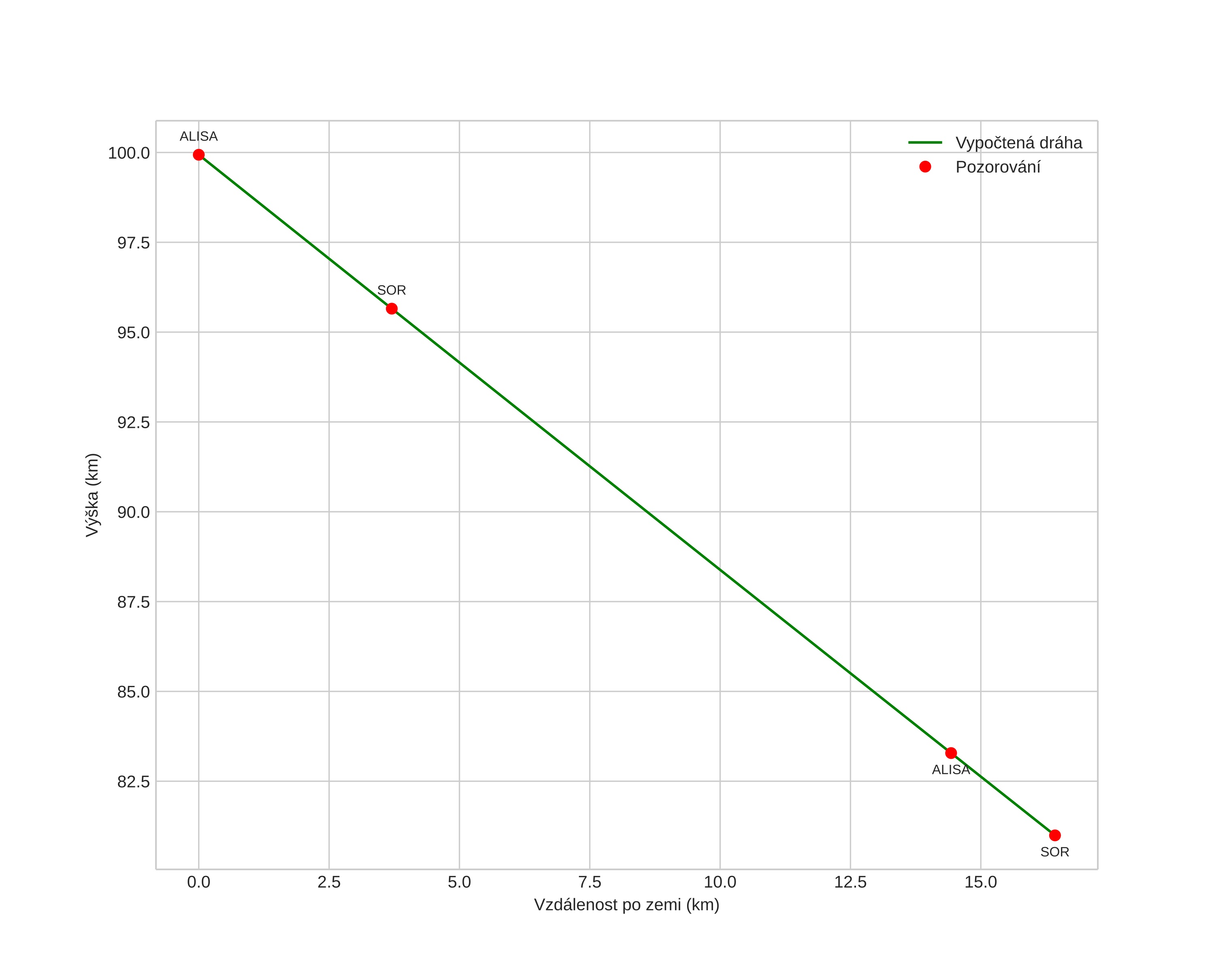
height profile
Atmosférická dráha meteoru:
Počáteční výška: 99,9 km
Konečná výška: 81,0 km
Počáteční poloha: 67,939N 19,361E
Konečná poloha: 68,032N 19,055E
Směr: 309,2°
Sklon: 49,0°
VstupnĂ­ rychlost: 36,8 km/s
Rektascenze radiantu: 07:31 (112,8°)
Deklinace radiantu: 32,0°
MeteorickĂ˝ roj: Geminidy
Elementy dráhy meteoroidu:
Vzdálenost v periheliu: 0,148 AU
Excentricita: 0,902
Sklon dráhy: 22,5°
Délka vzestupného uzlu: 262,9°
Argument perihelia: 322,3°
Střední anomálie: 340,3°
Epocha: 2017 DEC 14 22:10:42
orbit plot

NeinteraktivnĂ­ graf | InteraktivnĂ­ graf

position vs time
speed and acceleration