🇳🇴 🇬🇧 🇩🇪 🇨🇿 🇫🇮

Meteor Setermoenin yllä 2017-12-14 22:10:42 UTC

KML-tiedosto  |  Interaktiivinen kartta

Kartta näyttää meteorin suuntahavainnot. Vaaleammat viivat näyttävät suunnat havaintoasemilta meteorin ilmestyessä, ja tummemmat viivat näyttävät, missä se viimeksi nähtiin. Sininen nuoli näyttää meteorin näkyvän lennon.

static map
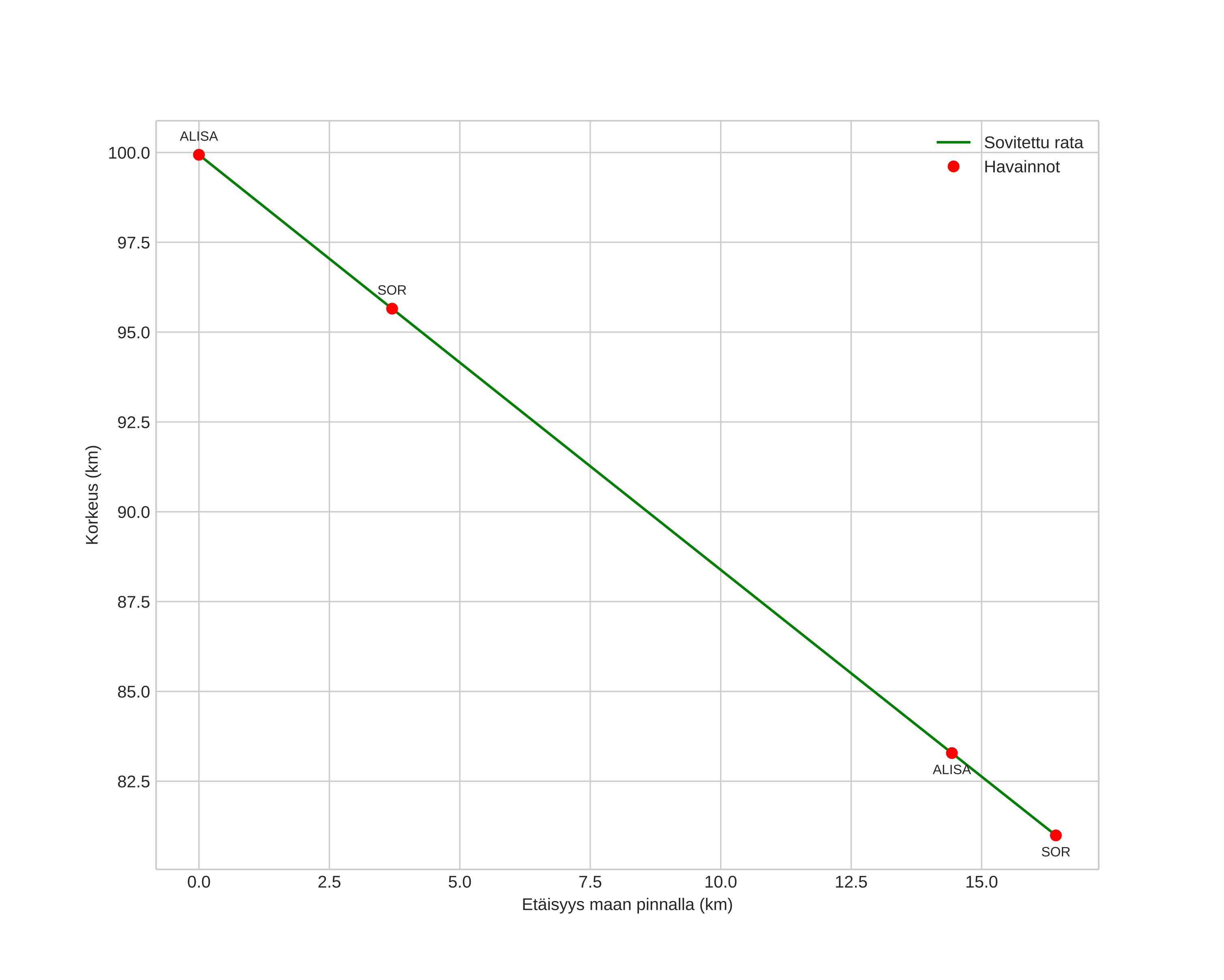
height profile
Meteorin ilmakehärata:
Alkukorkeus: 99,9 km
Loppukorkeus: 81,0 km
Alkupiste: 67,939N 19,361E
Loppupiste: 68,032N 19,055E
Suunta: 309,2°
Kallistuskulma: 49,0°
Tulonopeus: 36,8 km/s
Radiantin R,A,: 07:31 (112,8°)
Radiantin Dekl,: 32,0°
Meteoriparvi: Geminidit
Meteoroidin rataelementit:
Perihelietäisyys: 0,148 AU
Eksentrisyys: 0,902
Inklinaatio: 22,5°
Nousevan solmun pituus: 262,9°
Perihelin argumentti: 322,3°
Keskianomalia: 340,3°
Epookki: 2017 DEC 14 22:10:42
orbit plot

Ei-interaktiivinen kuvaaja | Interaktiivinen kuvaaja

position vs time
speed and acceleration