🇳🇴 🇬🇧 🇩🇪 🇨🇿 🇫🇮

Meteor, poloha: Kiruna 2017-12-14 22:52:48 UTC

Soubor KML  |  InteraktivnĂ­ mapa

Mapa zobrazuje dráhy meteoru. Světlejší čáry ukazují směry od pozorovacích stanic při objevení se meteoru a tmavší čáry, kde byl naposledy viděn. Modrá šipka značí viditelnou dráhu meteoru.

static map
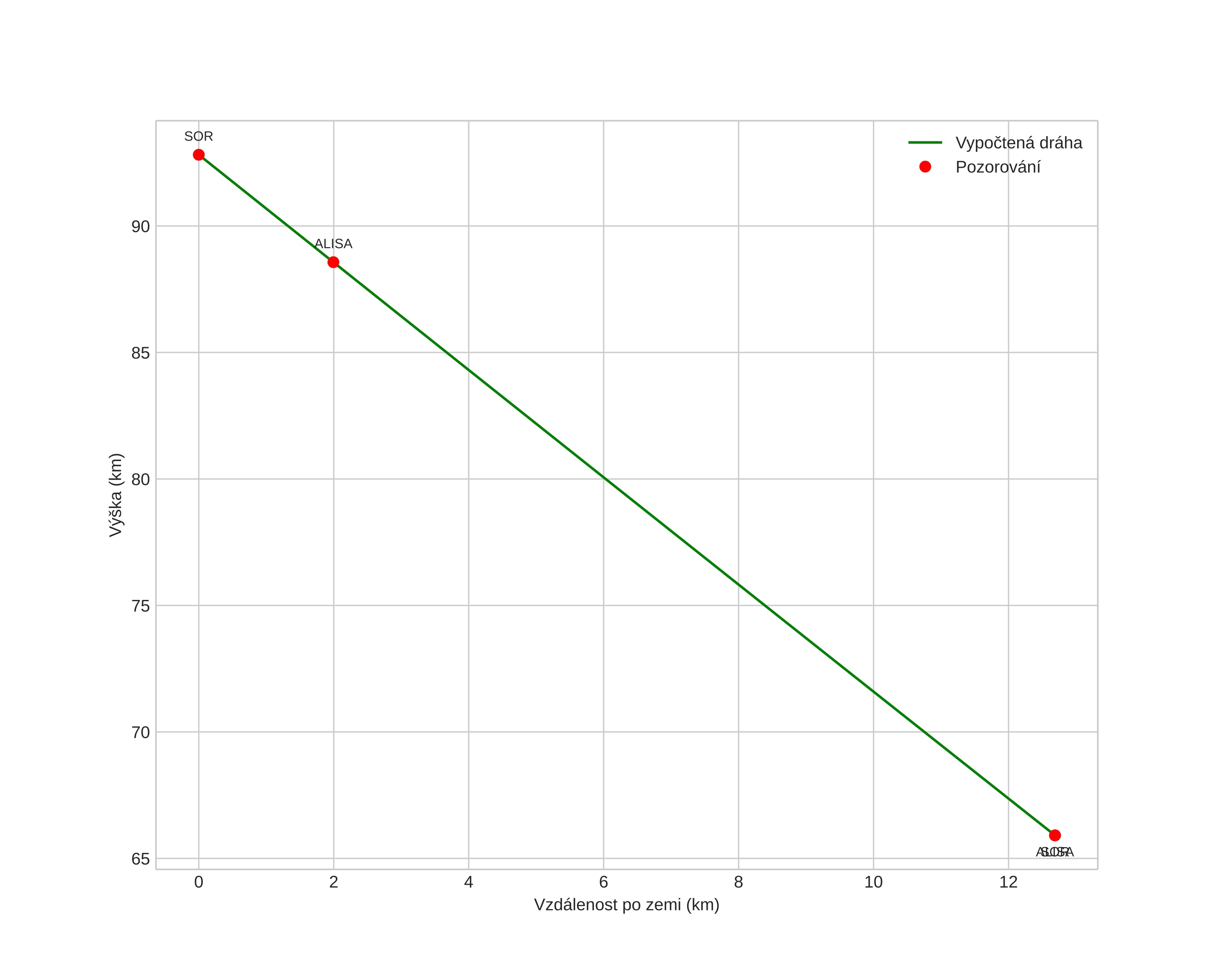
height profile
Atmosférická dráha meteoru:
Počáteční výška: 92,8 km
Konečná výška: 65,9 km
Počáteční poloha: 67,982N 19,741E
Konečná poloha: 68,081N 19,891E
Směr: 29,5°
Sklon: 64,7°
VstupnĂ­ rychlost: 24,5 km/s
Rektascenze radiantu: 04:32 (68,2°)
Deklinace radiantu: 42,7°
MeteorickĂ˝ roj: sporadickĂ˝
Elementy dráhy meteoroidu:
Vzdálenost v periheliu: 0,708 AU
Excentricita: 0,851
Sklon dráhy: 12,8°
Délka vzestupného uzlu: 262,9°
Argument perihelia: 247,1°
Střední anomálie: 356,4°
Epocha: 2017 DEC 14 22:52:48
orbit plot

NeinteraktivnĂ­ graf | InteraktivnĂ­ graf

position vs time
speed and acceleration