🇳🇴 🇬🇧 🇩🇪 🇨🇿 🇫🇮

Meteor Kirunan yllä 2017-12-14 22:52:48 UTC

KML-tiedosto  |  Interaktiivinen kartta

Kartta näyttää meteorin suuntahavainnot. Vaaleammat viivat näyttävät suunnat havaintoasemilta meteorin ilmestyessä, ja tummemmat viivat näyttävät, missä se viimeksi nähtiin. Sininen nuoli näyttää meteorin näkyvän lennon.

static map
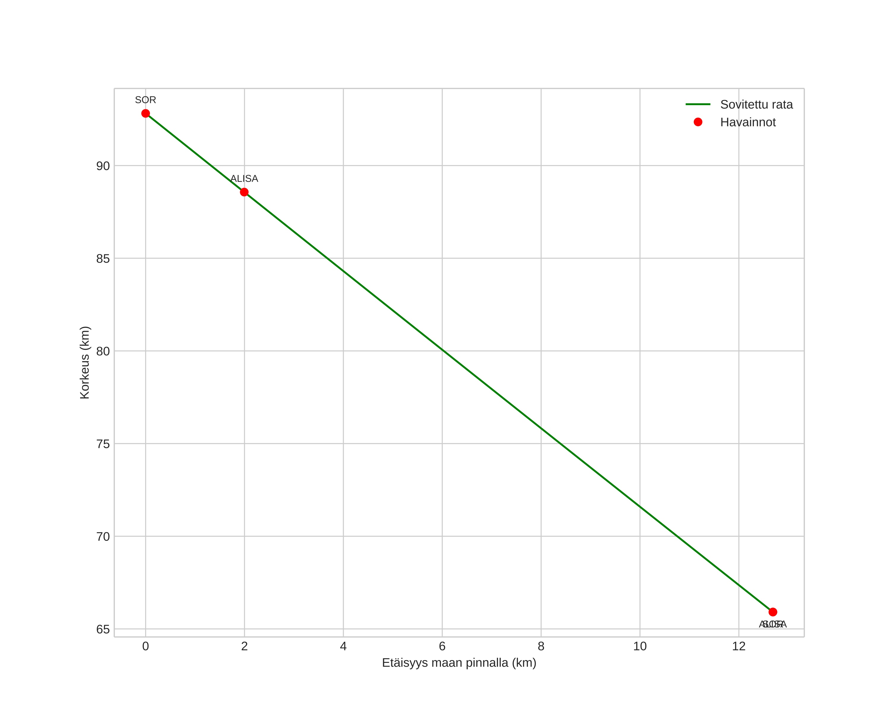
height profile
Meteorin ilmakehärata:
Alkukorkeus: 92,8 km
Loppukorkeus: 65,9 km
Alkupiste: 67,982N 19,741E
Loppupiste: 68,081N 19,891E
Suunta: 29,5°
Kallistuskulma: 64,7°
Tulonopeus: 24,5 km/s
Radiantin R,A,: 04:32 (68,2°)
Radiantin Dekl,: 42,7°
Meteoriparvi: Sporadinen
Meteoroidin rataelementit:
Perihelietäisyys: 0,708 AU
Eksentrisyys: 0,851
Inklinaatio: 12,8°
Nousevan solmun pituus: 262,9°
Perihelin argumentti: 247,1°
Keskianomalia: 356,4°
Epookki: 2017 DEC 14 22:52:48
orbit plot

Ei-interaktiivinen kuvaaja | Interaktiivinen kuvaaja

position vs time
speed and acceleration