🇳🇴 🇬🇧 🇩🇪 🇨🇿 🇫🇮

Meteor, poloha: Kiruna 2017-12-14 23:40:19 UTC

Soubor KML  |  InteraktivnĂ­ mapa

Mapa zobrazuje dráhy meteoru. Světlejší čáry ukazují směry od pozorovacích stanic při objevení se meteoru a tmavší čáry, kde byl naposledy viděn. Modrá šipka značí viditelnou dráhu meteoru.

static map
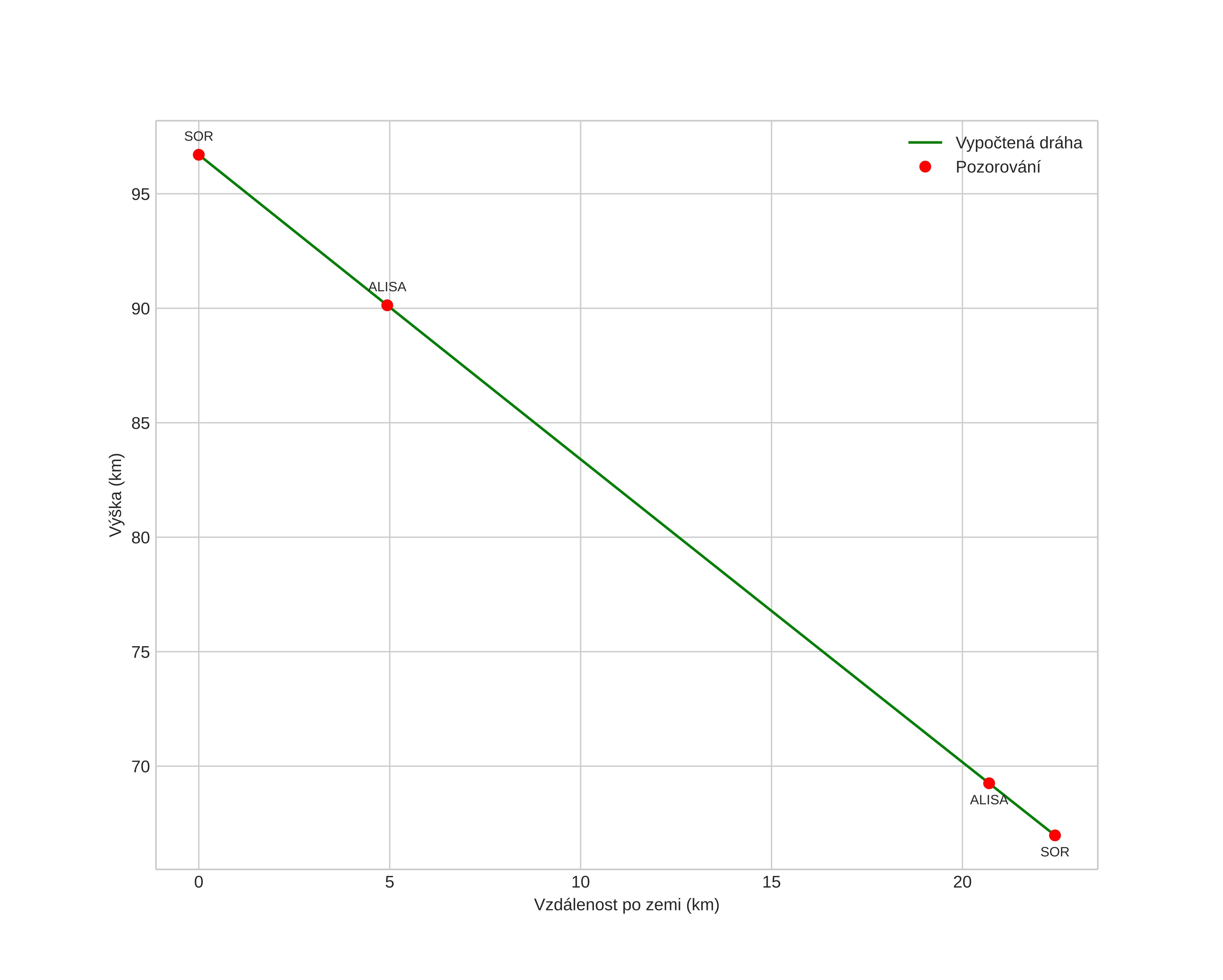
height profile
Atmosférická dráha meteoru:
Počáteční výška: 96,7 km
Konečná výška: 67,0 km
Počáteční poloha: 68,038N 20,263E
Konečná poloha: 68,222N 20,045E
Směr: 336,4°
Sklon: 52,9°
VstupnĂ­ rychlost: 40,3 km/s
Rektascenze radiantu: 07:40 (115,2°)
Deklinace radiantu: 31,5°
MeteorickĂ˝ roj: Geminidy
Elementy dráhy meteoroidu:
Vzdálenost v periheliu: 0,106 AU
Excentricita: 0,942
Sklon dráhy: 29,2°
Délka vzestupného uzlu: 262,9°
Argument perihelia: 327,2°
Střední anomálie: 346,3°
Epocha: 2017 DEC 14 23:40:19
orbit plot

NeinteraktivnĂ­ graf | InteraktivnĂ­ graf

position vs time
speed and acceleration