🇳🇴 🇬🇧 🇩🇪 🇨🇿 🇫🇮

Meteor Kirunan yllä 2017-12-14 23:40:19 UTC

KML-tiedosto  |  Interaktiivinen kartta

Kartta näyttää meteorin suuntahavainnot. Vaaleammat viivat näyttävät suunnat havaintoasemilta meteorin ilmestyessä, ja tummemmat viivat näyttävät, missä se viimeksi nähtiin. Sininen nuoli näyttää meteorin näkyvän lennon.

static map
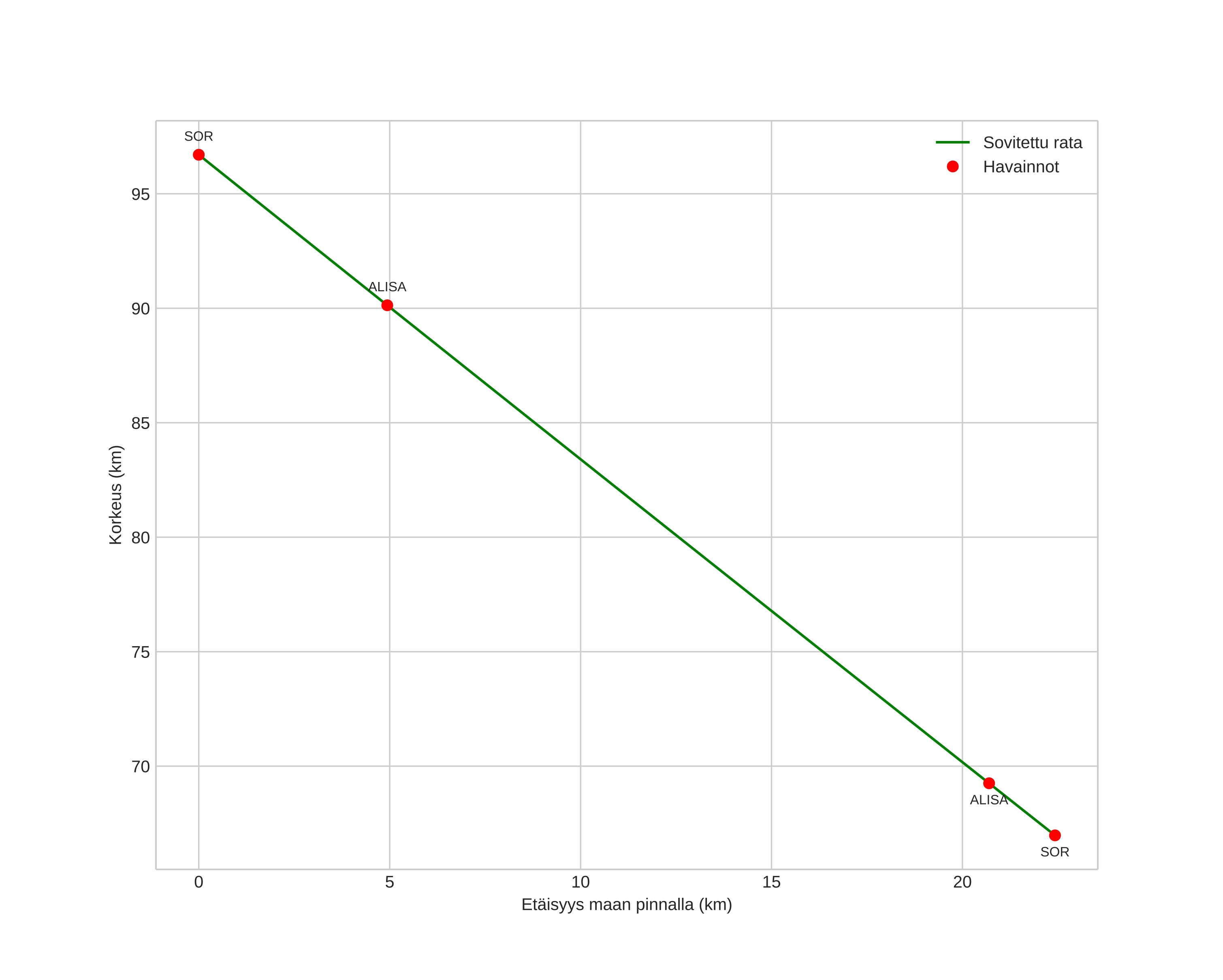
height profile
Meteorin ilmakehärata:
Alkukorkeus: 96,7 km
Loppukorkeus: 67,0 km
Alkupiste: 68,038N 20,263E
Loppupiste: 68,222N 20,045E
Suunta: 336,4°
Kallistuskulma: 52,9°
Tulonopeus: 40,3 km/s
Radiantin R,A,: 07:40 (115,2°)
Radiantin Dekl,: 31,5°
Meteoriparvi: Geminidit
Meteoroidin rataelementit:
Perihelietäisyys: 0,106 AU
Eksentrisyys: 0,942
Inklinaatio: 29,2°
Nousevan solmun pituus: 262,9°
Perihelin argumentti: 327,2°
Keskianomalia: 346,3°
Epookki: 2017 DEC 14 23:40:19
orbit plot

Ei-interaktiivinen kuvaaja | Interaktiivinen kuvaaja

position vs time
speed and acceleration