🇳🇴 🇬🇧 🇩🇪 🇨🇿 🇫🇮

Meteor, poloha: Malmberget 2017-12-15 05:36:49 UTC

Soubor KML  |  InteraktivnĂ­ mapa

Mapa zobrazuje dráhy meteoru. Světlejší čáry ukazují směry od pozorovacích stanic při objevení se meteoru a tmavší čáry, kde byl naposledy viděn. Modrá šipka značí viditelnou dráhu meteoru.

static map
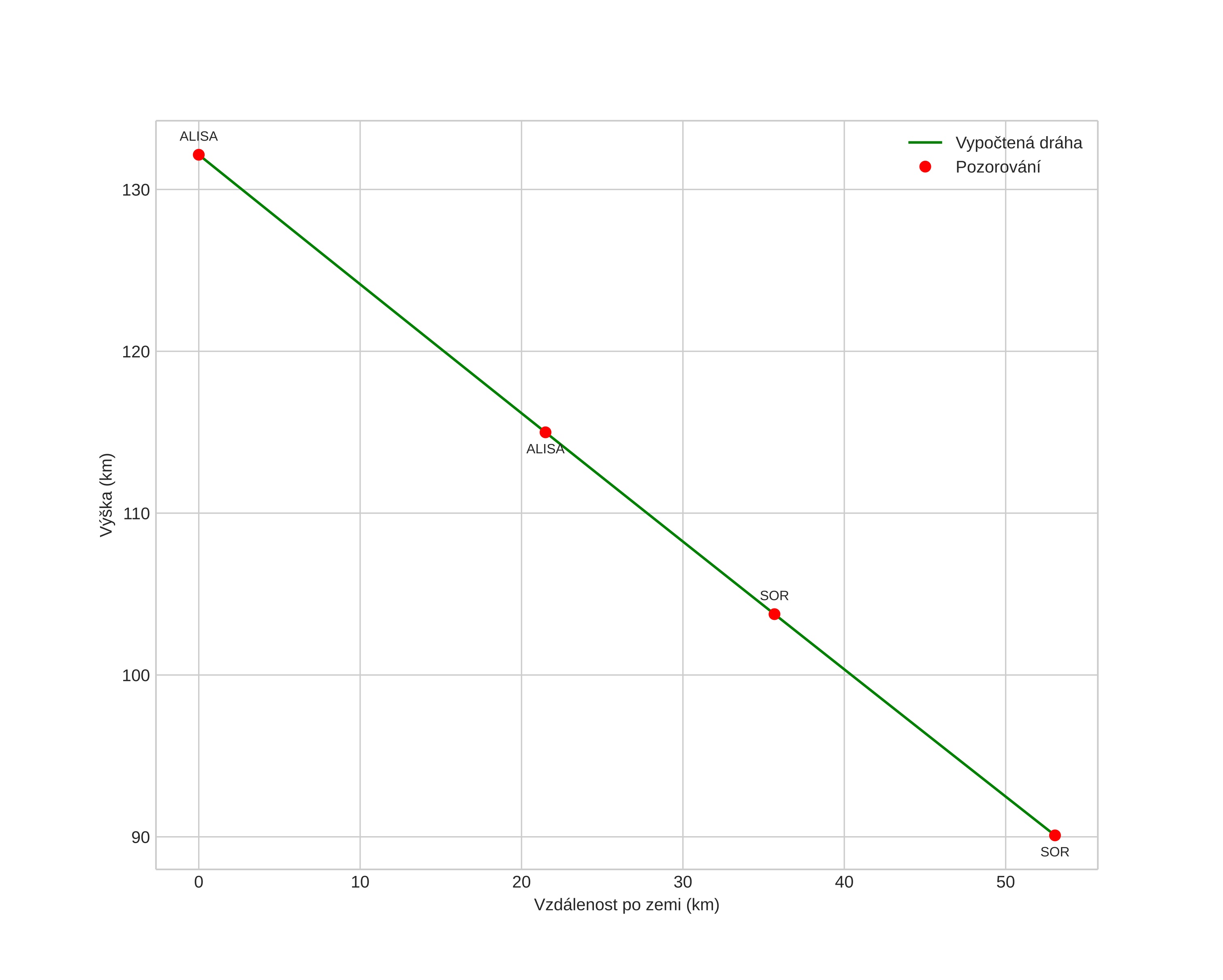
height profile
Atmosférická dráha meteoru:
Počáteční výška: 132,1 km
Konečná výška: 90,1 km
Počáteční poloha: 67,413N 19,234E
Konečná poloha: 67,442N 20,475E
Směr: 85,9°
Sklon: 38,4°
VstupnĂ­ rychlost: 42,2 km/s
Rektascenze radiantu: 07:47 (117,0°)
Deklinace radiantu: 32,5°
MeteorickĂ˝ roj: sporadickĂ˝
Elementy dráhy meteoroidu:
Vzdálenost v periheliu: 0,095 AU
Excentricita: 0,956
Sklon dráhy: 37,3°
Délka vzestupného uzlu: 263,2°
Argument perihelia: 328,0°
Střední anomálie: 349,7°
Epocha: 2017 DEC 15 05:36:49
orbit plot

NeinteraktivnĂ­ graf | InteraktivnĂ­ graf

position vs time
speed and acceleration