🇳🇴 🇬🇧 🇩🇪 🇨🇿 🇫🇮

Meteor Malmbergetin yllä 2017-12-15 05:36:49 UTC

KML-tiedosto  |  Interaktiivinen kartta

Kartta näyttää meteorin suuntahavainnot. Vaaleammat viivat näyttävät suunnat havaintoasemilta meteorin ilmestyessä, ja tummemmat viivat näyttävät, missä se viimeksi nähtiin. Sininen nuoli näyttää meteorin näkyvän lennon.

static map
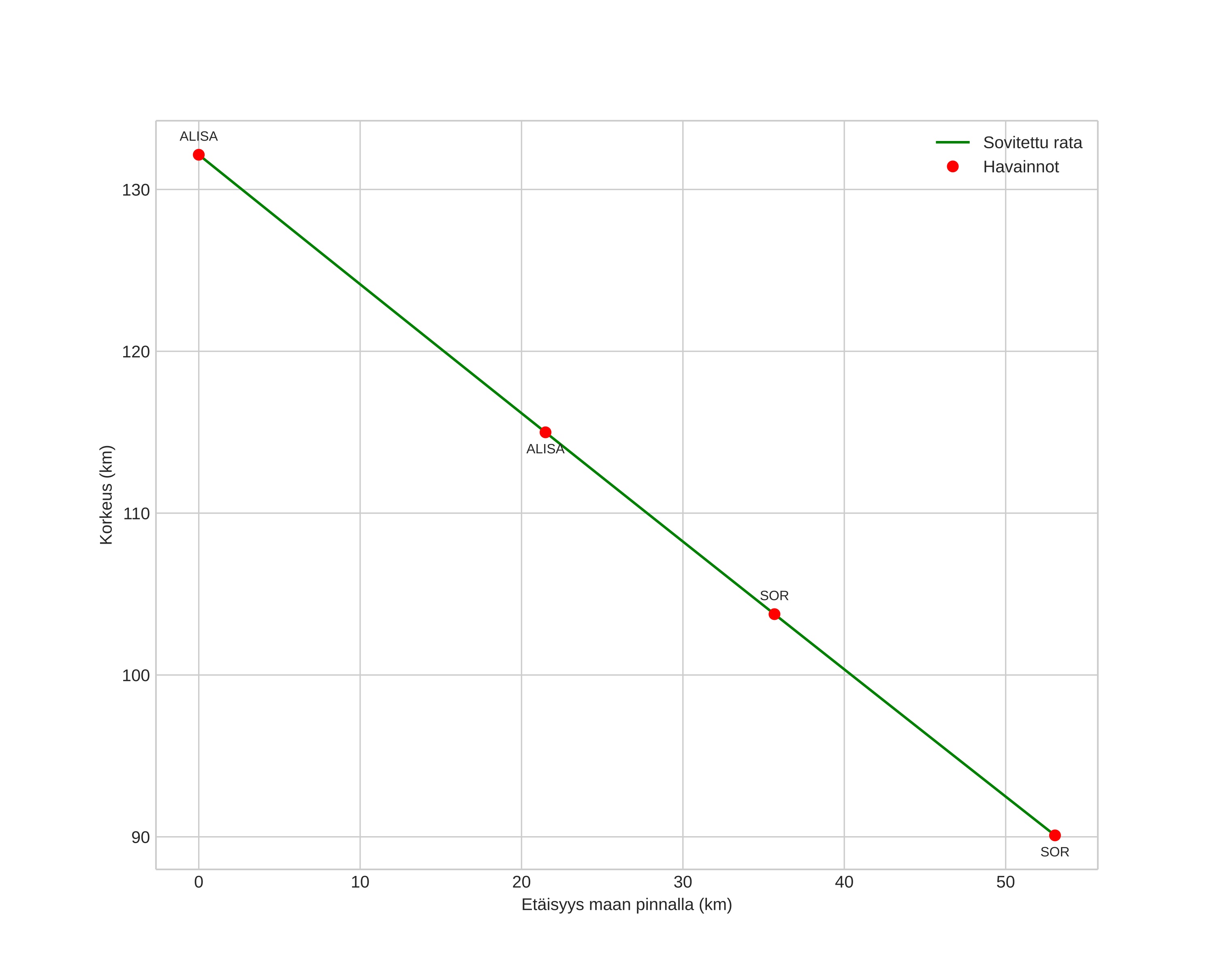
height profile
Meteorin ilmakehärata:
Alkukorkeus: 132,1 km
Loppukorkeus: 90,1 km
Alkupiste: 67,413N 19,234E
Loppupiste: 67,442N 20,475E
Suunta: 85,9°
Kallistuskulma: 38,4°
Tulonopeus: 42,2 km/s
Radiantin R,A,: 07:47 (117,0°)
Radiantin Dekl,: 32,5°
Meteoriparvi: Sporadinen
Meteoroidin rataelementit:
Perihelietäisyys: 0,095 AU
Eksentrisyys: 0,956
Inklinaatio: 37,3°
Nousevan solmun pituus: 263,2°
Perihelin argumentti: 328,0°
Keskianomalia: 349,7°
Epookki: 2017 DEC 15 05:36:49
orbit plot

Ei-interaktiivinen kuvaaja | Interaktiivinen kuvaaja

position vs time
speed and acceleration