🇳🇴 🇬🇧 🇩🇪 🇨🇿 🇫🇮

Meteor, poloha: Oppeid 2017-12-15 07:18:56 UTC

Soubor KML  |  Interaktivní mapa

Mapa zobrazuje dráhy meteoru. Světlejší čáry ukazují směry od pozorovacích stanic při objevení se meteoru a tmavší čáry, kde byl naposledy viděn. Modrá šipka značí viditelnou dráhu meteoru.

static map
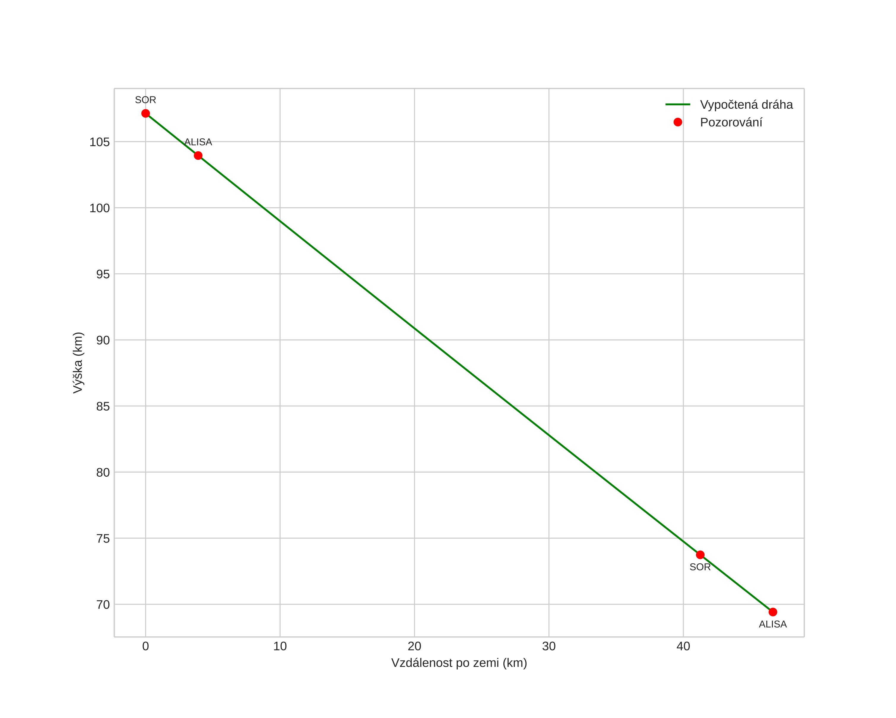
height profile
Atmosférická dráha meteoru:
Počáteční výška: 107,1 km
Konečná výška: 69,4 km
Počáteční poloha: 67,683N 15,925E
Konečná poloha: 68,094N 15,708E
Směr: 348,8°
Sklon: 38,9°
Vstupní rychlost: 62,8 km/s
Rektascenze radiantu: 14:33 (218,4°)
Deklinace radiantu: 16,6°
Meteorický roj: sporadický
Elementy dráhy meteoroidu:
Vzdálenost v periheliu: 0,551 AU
Excentricita: 1,202
Sklon dráhy: 112,4°
Délka vzestupného uzlu: 263,3°
Argument perihelia: 101,2°
Střední anomálie: 7,4°
Epocha: 2017 DEC 15 07:18:56
orbit plot

Neinteraktivní graf | Interaktivní graf

position vs time
speed and acceleration